EasyManua.ls Logo

Samsung SCX 6322DN - B/W Laser - All-in-One - Data Setup; Send Level; Dial Mode; Modem Speed

Samsung SCX 6322DN - B/W Laser - All-in-One
185 pages
To Next Page IconTo Next Page
To Next Page IconTo Next Page
To Previous Page IconTo Previous Page
To Previous Page IconTo Previous Page
Loading...
Service Manual
Alignment & Adjustments
4-18
Samsung Electronics
4.4.3 Data Setup
SEND LEVEL
You can set the level of the transmission signal. Typically, the Tx level should be under -12 dBm.
Caution : The Send Fax Level is set to the best condition during manufacture. Never change settings arbitrarily.
DIAL MODE
This function can choose the dialing method.
*Default : Dial (Dial/Pulse)
MODEM SPEED
You can set the maximum modem speed.
When the fax establishes communication with a remote set the value of the maximum modem speed is
checked for both transmitter and receiver. The lowest value is used. It is best set at 33.6Kbps, the default
setting.
ERROR RATE
When the error rate is about exceed the set value, the Baud rate automatically adjusts to 2400 bps.
This ensures that the error rate remains below the set value.
You can select the rate between 5% and 10%.
CLEAR ALL MEMORY
The function resets the system to factory default settings.
This function is used to reset the system to the initial value when the product is functioning abnormally.
All the values are returned to the default values, and all the information which was set by the user
will be erased.
< Method >
1. Select the [MEMORY CLEAR] in TECH MODE.
2. Push the ENTER button.
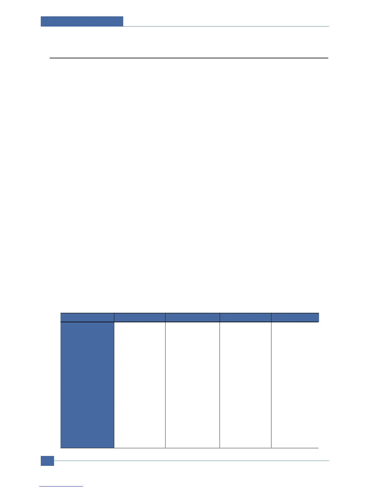
3. Select your country. (There are four country groups. Refer to the table below.)
4. Push the ENTER button then it will clear all memory.
NOTICE : Always perform a memory clear after replacing the main board, otherwise the system may
not operate properly.
Country Group USA/Canada UK Russia Southafrica
USA/Canada UK Russia South Africa
Mexico Germany India
Brazil France Oman
Italy Poland
Spain Bangladesh
Austria Kuwait
Netherlands Moroco
Belgium Algeria
Country Portugal Pakistan
Sweden UAE
Norway Bahrain
Denmark Srilanka
Finland Saudi Arabia
Switzerland Chile
Greece Peru
Ireland Argentina
Turkey Hungary
Romania
Bulgaria
Czech

Table of Contents

Other manuals for Samsung SCX 6322DN - B/W Laser - All-in-One

Related product manuals