EasyManua.ls Logo

Samsung Televisions - Trans-Tasman Trade Agreement

Samsung Televisions
33 pages
Print Icon
To Next Page IconTo Next Page
To Next Page IconTo Next Page
To Previous Page IconTo Previous Page
To Previous Page IconTo Previous Page
Loading...
MEPS Televisions April 2005
Page 21
A study produced for the Energy Efficiency and Conservation Authority by
Wise Analysis Ltd
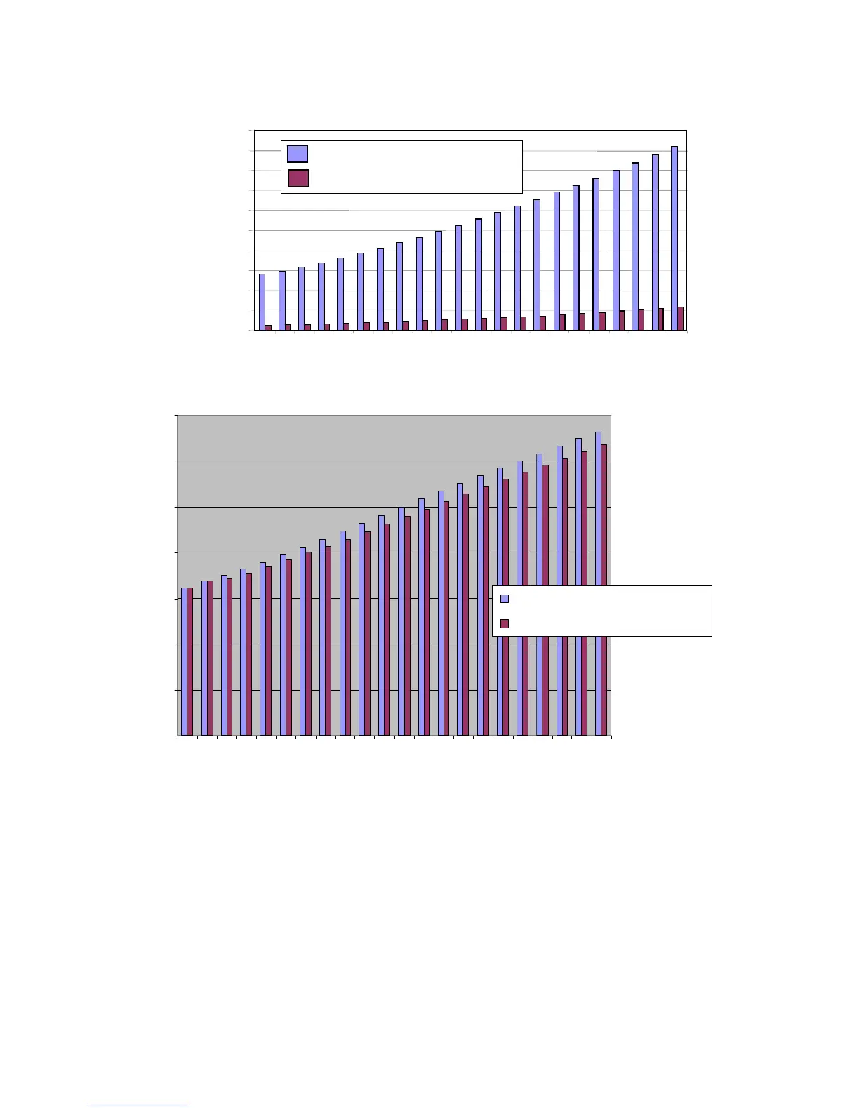
Figure 1 Chart of Television Set Numbers in New Zealand.
Figure 2 Energy Usage Figures for Televisions in New Zealand BAU and MEPS.
0
100
200
300
400
500
600
700
2004
2005
2006
2007
2008
2009
2010
2011
2012
2013
2014
2015
2016
2017
2018
2019
2020
2021
2022
2023
2024
2025
Energy usage (GWh)
Total energy use (GWh) - BAU
Total energy use (GWh) - MEPS
The total energy saved is 8 GWh in 2006, when MEPS is introduced, rising to 29 GWh in
2025. The cumulative energy savings between 2006 and 2025 is 392 GWh, and the net present
value of these savings at a discount rate of 10% based on a current energy cost of 7.3 c/kWh is
$8.3 million.
9.2 Trans-Tasman Trade Agreement
CER is a series of agreements and arrangements that began with the entry into force on 1
January 1983 of the New Zealand Australia Closer Economic Relations Trade Agreement.
Total free trade in goods was achieved by 1990 (five years ahead of schedule) with the
elimination of all tariffs and quantitative restrictions. The Trans-Tasman Mutual Recognition
Agreement of goods (and occupations) means that goods that are acceptable for sale in one
jurisdiction can legally be sold anywhere in Australia and New Zealand. A joint communiqué
Number of TVs
0
1,000,000
2,000,000
3,000,000
4,000,000
5,000,000
6,000,000
7,000,000
8,000,000
9,000,000
10,000,000
2004
2005
2006
2007
2008
2009
2010
2011
2012
2013
2014
2015
2016
2017
2018
2019
2020
2021
2022
2023
2024
2025
Total No. of TVs (year start)
New TVs

Related product manuals