EasyManua.ls Logo

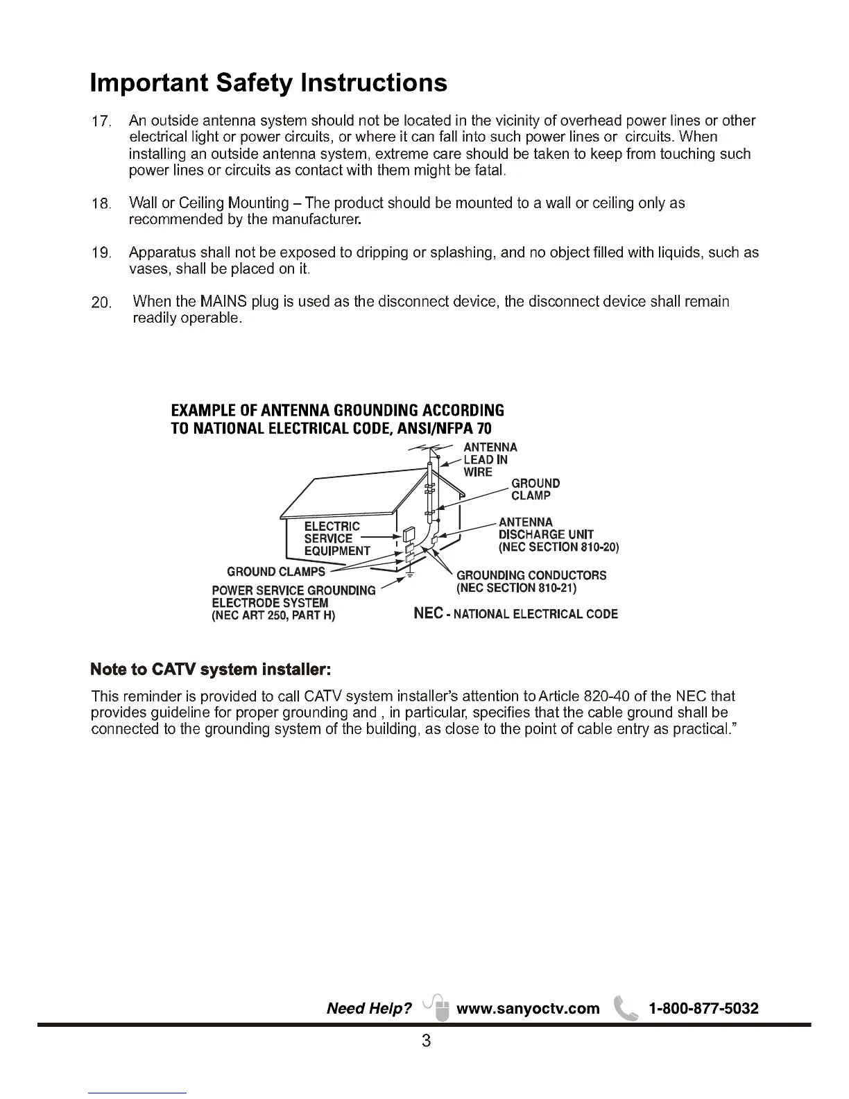
Sanyo FVD48P4 - Example of Antenna Grounding According; Note to CATV System Installer

Sanyo FVD48P4
30 pages
Print Icon
To Next Page IconTo Next Page
To Next Page IconTo Next Page
To Previous Page IconTo Previous Page
To Previous Page IconTo Previous Page
Loading...

Related product manuals