EasyManua.ls Logo

Sharp MX-4501N - Page 282

Sharp MX-4501N
448 pages
Print Icon
To Next Page IconTo Next Page
To Next Page IconTo Next Page
To Previous Page IconTo Previous Page
To Previous Page IconTo Previous Page
Loading...
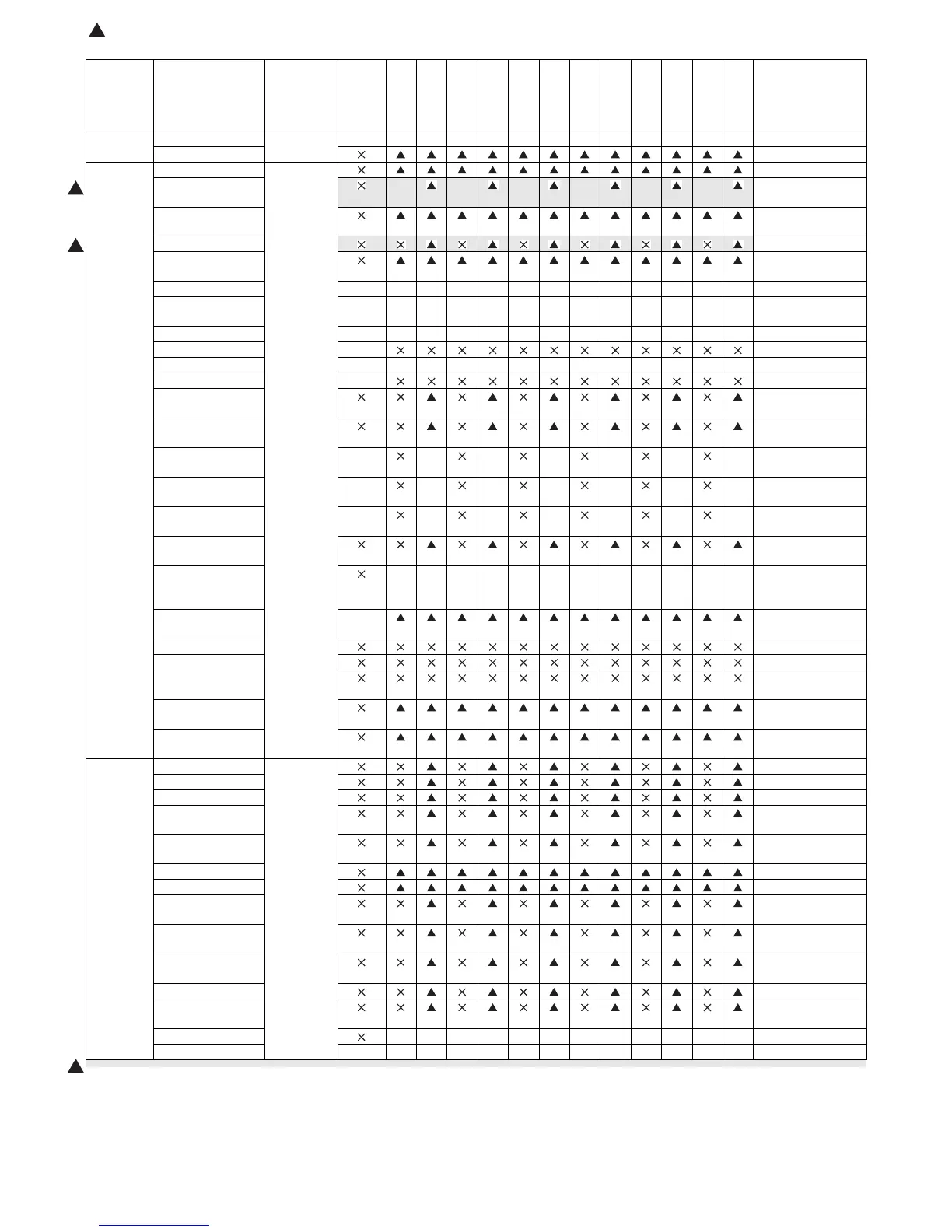
MX3500N MAINTENANCE 9 – 2
Unit name Part name
When
calling
150
K
300
K
450
K
600
K
750
K
900
K
LSU Dust proof glass Mechanical
parts
{ {{{{{{{{{{{{
Cleaning base (P/G No.: [2]-35)
Transfer
section
Primary transfer belt Mechanical
parts
(P/G No.: [25]-3)
Primary transfer
roller
{ { { { { { (P/G No.: [26]-9)
(P/G No.: [27]-27)
Primary transfer
blade
(P/G No.: [24]-19)
Belt drive gear
(P/G No.: [26]-13)
Primary transfer
conduction collar
(P/G No.: [26]-8)
(P/G No.: [27]-25)
Transfer drive roller {{{{{{{{{{{{
Transfer follower
roller
{{{{{{{{{{{{
Tension roller {{{{{{{{{{{{
Belt CL brush
Y auxiliary roller {{{{{{{{{{{{
Resist backup roller
Secondary transfer
belt
(P/G No.: [29]-21)
Secondary transfer
roller
(P/G No.: [29]-6)
Secondary belt drive
roller
{{{{{{
Secondary belt
tension roller
{{{{{{
Secondary belt
follower roller
{{{{{{
Secondary transfer
drive idle gear
(P/G No.: [28]-6)
Sensors (Process
control resist
sensors)
{{{{{{{{{{{{
Primary transfer CL
roller
(P/G No.: [25]-56)
Cleaner seal
Cleaner seal R
Transfer toner
reception seal
Primary transfer
roller bearing
(P/G No.: [26]-40)
(P/G No.: [27]-35)
Packing Mylar (P/G No.: [24]-25)
Fusing
section
Upper heat roller Mechanical
parts
(P/G No.: [31]-42)
Lower heat roller (P/G No.: [32]-13)
Fusing gear (P/G No.: [31]-40)
Upper heat roller
bearing
(P/G No.: [31]-41)
Lower heat roller
bearing
(P/G No.: [32]-11)
Sub roller
Sub roller bearing
Upper separation
pawl
(P/G No.: [33]-23)
Upper thermistor
side
(P/G No.: [31]-24)
Upper thermistor
sub
(P/G No.: [31]-24)
Lower thermistor (P/G No.: [32]-37)
Upper thermistor C
(Non-contact)
(P/G No.: [31]-15)
Gears ✩✩✩✩✩✩✩✩✩✩✩✩Specified position
Paper guides { {{{{{{{{{{{{
Monochrome
supply/
Mechanical
parts
1050
K
1200
K
1350
K
1500
K
1650
K
1800
K
Remark/Refer to the
Parts Guide.
Block/Item No.
(Only the replacement
parts are described.)
5
5
5
: Jul. 15 2006
5

Table of Contents

Other manuals for Sharp MX-4501N

Related product manuals