EasyManua.ls Logo

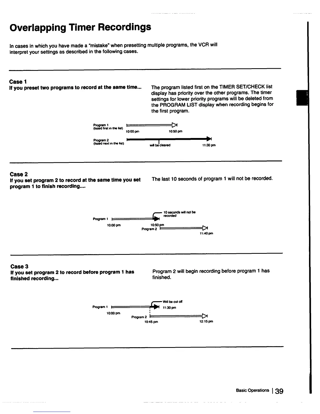
Sony EV-S2000 - Handling Overlapping Timer Recordings

Sony EV-S2000
72 pages
Print Icon
To Next Page IconTo Next Page
To Next Page IconTo Next Page
To Previous Page IconTo Previous Page
To Previous Page IconTo Previous Page
Loading...

Related product manuals