EasyManua.ls Logo

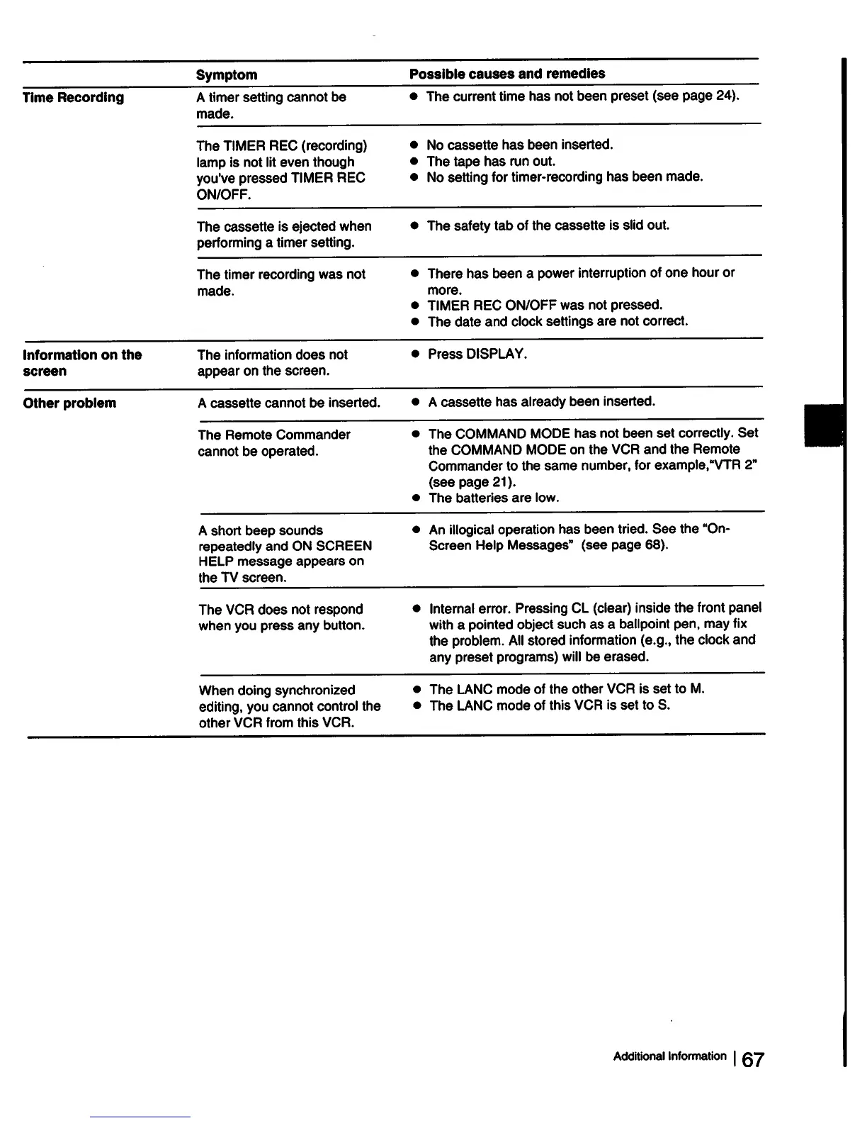
Sony EV-S2000 - Troubleshooting (Continued); Timer Recording and Screen Display Issues; Operational and Remote Control Issues

Sony EV-S2000
72 pages
Print Icon
To Next Page IconTo Next Page
To Next Page IconTo Next Page
To Previous Page IconTo Previous Page
To Previous Page IconTo Previous Page
Loading...

Related product manuals