EasyManua.ls Logo

STIEBEL ELTRON WPF 10 - Page 63

STIEBEL ELTRON WPF 10
80 pages
Print Icon
To Next Page IconTo Next Page
To Next Page IconTo Next Page
To Previous Page IconTo Previous Page
To Previous Page IconTo Previous Page
Loading...
www.stiebel-eltron.com WPF | WPF cool | 63
INSTALLATION
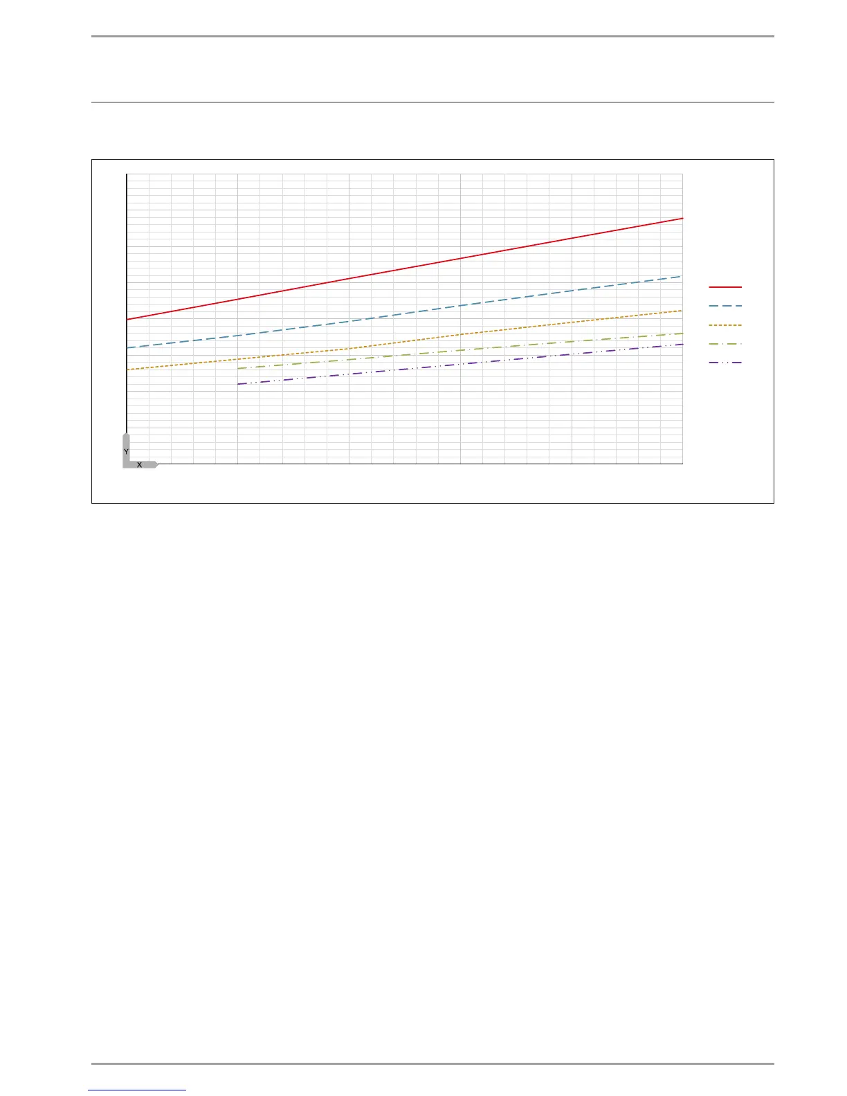
Specication
COP
0
1
2
3
4
5
6
7
8
-5 0 5 10 15 20
1
2
3
4
5
D0000033166

Table of Contents

Other manuals for STIEBEL ELTRON WPF 10

Related product manuals