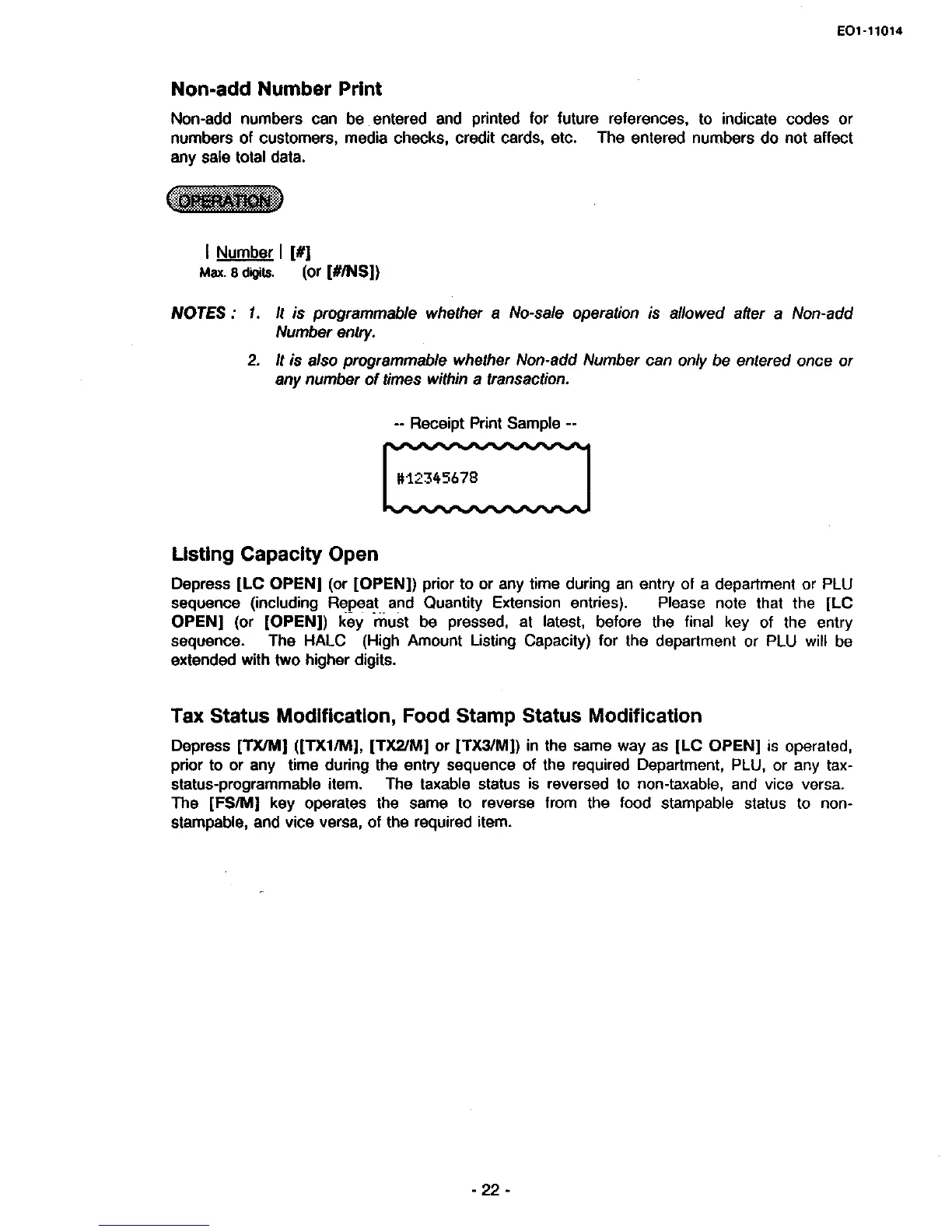
EasyManua.ls Logo

TEC MA-1400 - Non-Add Number Print; Listing Capacity Open; Tax Status Modification, Food Stamp Status Modification

Default Icon
96 pages
Print Icon
To Next Page IconTo Next Page
To Next Page IconTo Next Page
To Previous Page IconTo Previous Page
To Previous Page IconTo Previous Page
Loading...

Table of Contents

Related product manuals