EasyManua.ls Logo

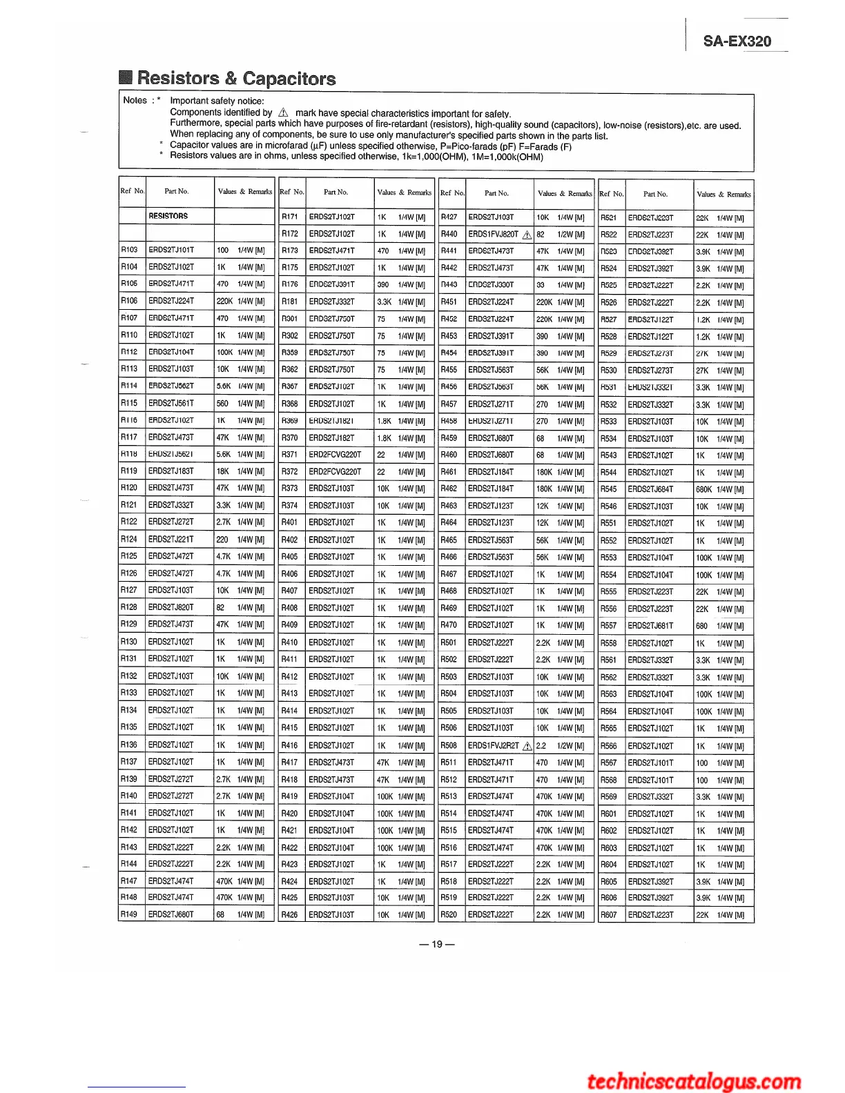
Technics SA-EX320 - Resistor Component Listing; Resistor Parts R103-R149; Resistor Parts R171-R569

Technics SA-EX320
22 pages
Print Icon
To Next Page IconTo Next Page
To Next Page IconTo Next Page
To Previous Page IconTo Previous Page
To Previous Page IconTo Previous Page
Loading...

Other manuals for Technics SA-EX320

Related product manuals