EasyManua.ls Logo

Technics SECA-1060 - Page 15

Technics SECA-1060
16 pages
Print Icon
To Next Page IconTo Next Page
To Next Page IconTo Next Page
To Previous Page IconTo Previous Page
To Previous Page IconTo Previous Page
Loading...
SE-CAI 060
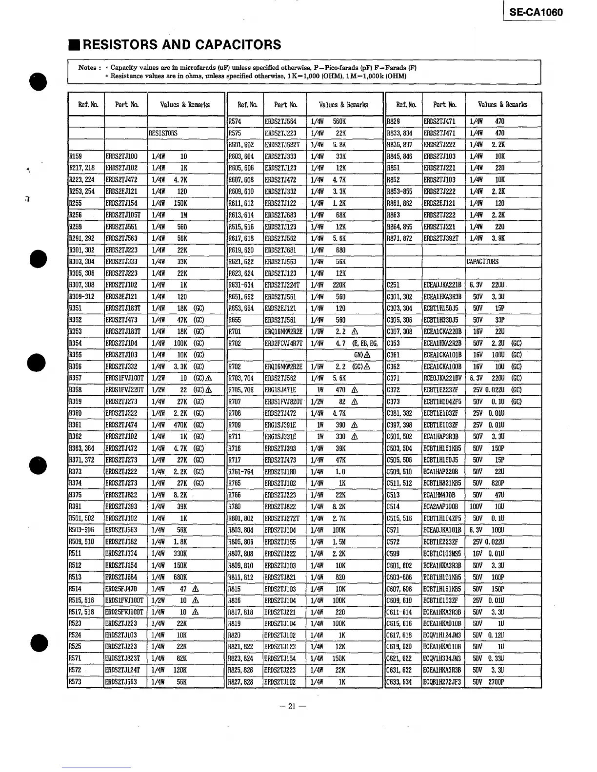
REslsTo~~s AND CAPACITORS
Notes : *Capacityvaluesare h microfarads (uF)tiese epecifiedotherwise,P= Pico.farads(pF)F= Farads(F)
a
*Wsistancevaluesare in ohms,tiess specifiedotherwise,IK=1,000 (OHM),IM=1,000k (OHM)
Ref.N~ Part h
Values&Re~rks Ref.Na
Part h
Values&Remark
Ref.No.
Part h.
Values&Rewrks
R574
E6DS2TJ564
l/4W 560K
R829
EM2TJ471 l/4w 470
i I 1
I Inuul, UUL ILWdLldUOL1 I lf%n U. On I fnodu, OJI
ILWL14UL I 1/Yn L. Lil
I
M59
E~2TJ100
] l/4w 10
R603,604 ERDS2TJ333
l/4w 33K R845,846 EHDS2TJ103I l/4w 10K
8217,218 ERB2TJI02 ] l/4W IK
R605,606 ERDS2TJ123l/4w 12K RB51 ERE2TJ221
I l/4w 220
!~23.”4 ]E~’TJ472 I l/4W 4.7K IIR607,608]ERDS2TJ472I l/4W 4.7K
IIR852
lEM2TJ103 I 1/4w 10K
I
R253,254 IEW2EJ121 1l/4w 120
IIR609,610 lEws2TJ332 I l/4W 3.3K I]R853-855 IERDS2TJ222
I l/4W 2.2K
R255 IERDS2TJ154I l/4W 1541K
IIR61L612 lEB0s2TJ122I l/4w L2K llR861.862 lE~2EJ121 I l/4w 120
IRZ56
lE~2TJ105T I 1/4w IM lli613,614 IEDS2TJ683Il/4w 68K
IIR863
lERti2TJ222I 1/4w 2.2K
I
RZ59 IEW2TJ561 I l/4w 560
IIR615,616lER0s2TJ123
\ l/4w 12K
IIR864865 IERDs2TJ221
1l/4w 2’0
8291,292 l~2TJ563 I l/4w 56K
llREi17,618 lEBDS2TJ5fi2
I l/4w 5.6K
IIR87L872 lEwTJ392T I I/4w 3.9K
R301,302 ERDS2TJ223
l/4W “K
R619,620 ERDS2TJ681
l/4W 680
8303,304 EBDS2TJ333l/4w 33K
R621,622 E~S2TJ563
l/4w 56K CAPACITORS
R305,306 ERN2TJ223 l/4w 22K
R623,624 ERDS2TJ123
l/4w 12K
M07,308 [ERM2TJ102
I l/4W IK
IIR631-634lERDs2TJ224TI 1/4w 220K
I[C251 IEcMJKA221BI 6.3v 220u.
R09-312 lR~2EJ121 I l/4w
120 11R65L652 lER0s2TJ561I l/4w 560
Ilczol.302 lEcwHKA3H3BI 5ov 3.zu
B351
ERDS2TJ183Tl/4w 18K (cc) R653,654 ERDS2EJ121l/4w 120 C303,3U4 EcBTlH150J5 50V 15P
8352 ERDS2TJ473l/4W 47K (CC)
R655 ERDS2TJ561l/4w 560
C305,306 ECBT1H330J5
50V 33P
R353 ERm2TJ183T
l/4w 18K (Gc) R701
ERQ16NKW2R2E
I/m 2.2 A C307,308 EcEAlcKA220B16V “u
IR354
lERm2TJ104I 1/4w looK (~) IIR702 IERD2FCVJ4R7TI 1/4w 4.7 (LEB,EG,IIC353 lEcwt0(A2wBI 5ov 2.2u (Gc) I
IR355
lERM2TJ103] l/4W 10K (GC)
II
GN)A
IIC361
IECWCMOIBI16v Ioou (GC)
I
R356
ERCIS2TJ332
l/4W”-3.3K--(GC)
R702
ERQ16NN2R2E1/6w 2.2 (GC)A C362 ECEAICKAIDOB
16V IDU (GC)
R357
ERDS1FVJ1OOTlnw 10 (GC)A
R703,704 ERDS2TJ562l/4W 5.6K
C371 BCEOJKA221BV
6.3V 220U(GC)
R358
ERN1FVJ220Tl/’2w 22 (GC)A
R705,706 EffilsJ471E IW
470 A C372 ECBTlE223ZF25V0.022U(GC)
R359
ERDS~J273 l/4w 27K (GC) R707
EROSlFVJ82~l1/’W
R360
ERm2TJ222 l/4W 2.2K (GC)
R708 ERDS2TJ472
82A
IWZF5’ “v‘“’”‘Gc)Il/4W 4.7K
R361
ERN2TJ474
l/4W 470K(GC)
R709 El
IZF
1
1[ I
25VO.olu
:ffilsJ391E I IW 390 A IIc397,398 lECBTIE103ZF25V o.Olu
R362
m2TJlo2 l/4w IK (GC)
R711 EffilsJ331E IW
330 A C501,502 EcAlw3R3B
50V 3.3U
R363,364 E~2TJ472
l/4W 4.7K (GC)
R716 ERDS2TJ393l/4w
39K C503,504 ECBT1H151KB550V 150P
8371,372 ~2TJ273 l/4W 27K (CC)
R717 ERDS2TJ473l/4w
47K C505,Wfi EcBTlR150J5 5DV
15P
R373
IEW2TJ222 I l/4W 2.2K (GC)
IIR761-764lERDS2TJlM
I l/4w 1.0 IIc509,510 IECMM220BI 5ov 22u
R374
lE~2TJ273 I l/4w 27K (CC)
IIR765 IERDS2TJ102I l/4W IK IIc511,512 lEcBTltf821wI 5ov 820p
IR375
IEW2TJ822 I 1/4w 8.2K
IIR766
lERDs2TJ223I 1/4w 22K
IIC513
lECAlW70BI 50V 47U
I
IR391
IERN2TJ393
I l/4w
39K t1R7~ IERDS2TJ822i l/4W 8.2K IIC514 lECA2AApI00BI loov 10U I
lR50L502 lE~2TJ102 1“I/4W IK
llti5.516 lEC~f104ZF5I tiv oju
“1
M03-506 ERN2TJ563
l/4w 56K
R8U3,804 ERDS2TJI04 l/4W 100K C571
ECWJKAIOIB6.3V 100U
R509,510 ERDS2TJ182
l/4w L8K
R~5,806 EHDS2TJ155114W 1.w C572 ECBT1E223ZF25Vo.022U
8511 Em2TJ334
l/4W 330K R807.808 EPJ)S2TJ222
l/4W 2.2K
C599 EcBTlclo3m5 18VO.olu
IR512
lE~2TJ154 I 1/4w 150K
IIRW9.810 lERos2TJ103I I/4W 10K
llc601j602lEcMlm3R3BI 5ov 3.3u I
R513
ERM2TJ684
l/4w 6WK
R811,812 ERDS2TJ821l/4w 820
C603-606 ECBT1H101KB550V 10DP
8514
ERD25FJ470
l/4w
47 A R815 EHDS2TJ103l/4w 10K C607,~8 EcmH151KB5Wv IWP
8515,516 IE~IFVJIOOT] 12w
10 A
]]R816
lERDs2TJI04
I l/4W 100K
I]C609,610 ]ECBT1EI03ZF
I
25Vo.Olu
w517,518 lERD25FVJ100TI 1/4w
10 A
IIR817.818 lERDs2TJ221I l/4w 220
IIc611-614 lEcEAlRKA3R3BI
50V 3.3U
R523 E~2TJ223 l/4w
22K R819 EPJ)S2TJ104
l/4W 100K
C615,616 ECEAIWIOBI 50V IU
R524
E~2TJ103
l/4w
IOK R820 ERDS2TJI02 l/4W IK C617,618 ECQVIH124JM3[ 50V0.120
IR525
IERDS2TJ223I 1/4w 22K
IIR82L822 IERDS2TJ123I 174w” 12K llc619,620 IECW~lOB I 5ov IU
I
lERm2TJB23TI 1/4w 82K
IIR823,824lE~S2TJ154 I l/4W 150K IIC621,622 lECQVlU334JM3I 5DVO.33U
lERmnJ124TI 1/4w 120K
IIR825,826IERDS2TJ223
I l/4w
22K
!IC631,632 IECWWR3BI 541V3.‘U
IR573
lE~2TJ563 l-1/4w 56K
!!ti27,828 lEBDS2TJ102[T4w “–lK
![C633,634IEcQBIH’72JF3I 50V2700P
“1
21

Related product manuals