EasyManua.ls Logo

Trane CVGF500 - Page 104

Trane CVGF500
128 pages
Print Icon
To Next Page IconTo Next Page
To Next Page IconTo Next Page
To Previous Page IconTo Previous Page
To Previous Page IconTo Previous Page
Loading...
Nominal Triptime
(Sec)
Minimum Triptime
(Sec)
Maximum Triptime
(Sec)
Current Overload Protection
Motor currents are continuously monitored for over current protection and locked ro-
tor protection. This protects the chiller from damage due to current overload during
starting and running modes but is allowed to reach full load amps. This overload pro-
tection logic is independent of the current limit. The overload protection will ultimately
shut the unit down anytime the highest of the three phase currents exceeds the time
trip curve. A manual reset diagnostic describing the failure will be displayed.
Overload protection for the motor starts based on the maximum time to transition
permitted for a particular motor.
Running Overload Protection
In the run mode, a time trip curve is looked at to determine if a diagnostic should be
called. The starter LLID continuously monitors compressor line currents to provide
running overload and locked rotor protection.
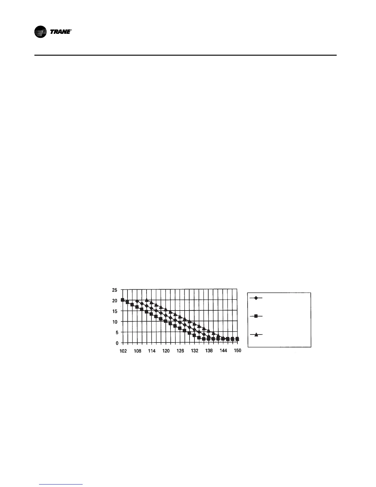
Overload protection is based on the line with the highest current. It triggers a manual-
ly resettable diagnostic shutting down the compressor when the current exceeds the
specified time trip curve. The compressor overload time trip curve is expressed as a
percent of the RLA of the compressor and is not adjustable: Overload Must Hold = 102
Percent RLA.
Overload Must Trip in 20 (+0 -3) seconds = 112 Percent RLA
(Note the above gives a nominal 20 seconds must trip point of 107 Percent RLA.)
Overload Must Trip in 1.5 seconds = 140 Percent RLA (Nominal)
The time trip curve is as follows:
Figure 38. Overload time trip versus percent RLA
CVGF-SVX03B-EN
104
Machine Protection and Adaptive Control

Related product manuals