EasyManua.ls Logo

Varta EASY BLADE - 3 Introduction of ASB

Varta EASY BLADE
33 pages
Print Icon
To Next Page IconTo Next Page
To Next Page IconTo Next Page
To Previous Page IconTo Previous Page
To Previous Page IconTo Previous Page
Loading...
8
3 Introduction of ASB
Application Specific Batteries (ASB) is VARTA’s new range of lithium-rechargeable battery products
from VARTA Storage GmbH, offering products in the voltage range of 24V 48V for modern systems
and applications.
We offer a growing range of battery packs that are immediately available for high-energy or high-
power applications. All ASB battery packs are fitted with an electronic battery management system
(BMS) with protection against unsafe conditions. All cells used comply with the requirements of the
safety standard UL1642 and the packs in this handbook are certified to additional safety standard
IEC62133-2:2017 as well as UN38.3 requirements for transportation.
SYSTEM HIGHLIGHTS OF VARTA STORAGE ASB RANGE:
Excellent energy density
Zero maintenance requirements
Different form factors
Low self-discharge and wide temperature
range
~24V and ~48V versions
Up to 40kWh systems using modular
approach
IEC62133-2:2017 certification
Mechanical stacking/locking design
CAN Bus Communications (CANopen)
ISO9001 certified for design and
manufacture
Excellent cycle life (see PI-Sheet)
2 year manufacturer’s limited warranty
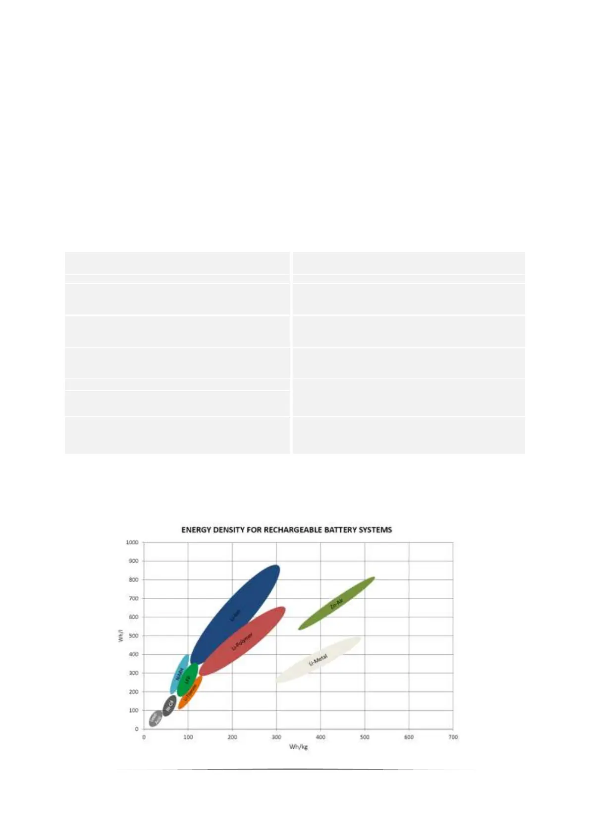
Comparison of different rechargeable battery systems regarding their energy densities

Related product manuals