EasyManua.ls Logo

Velopex Intra-X - Troubleshooting Common Issues

Velopex Intra-X
32 pages
Print Icon
To Next Page IconTo Next Page
To Next Page IconTo Next Page
To Previous Page IconTo Previous Page
To Previous Page IconTo Previous Page
Loading...
Troubleshooting (Cont.)
18 VELOPEX INTRA-X
User Guide
TROUBLE SHOOTING
6%,/0%8).42!8
5SER'UIDE
42/5",%3(//4).'

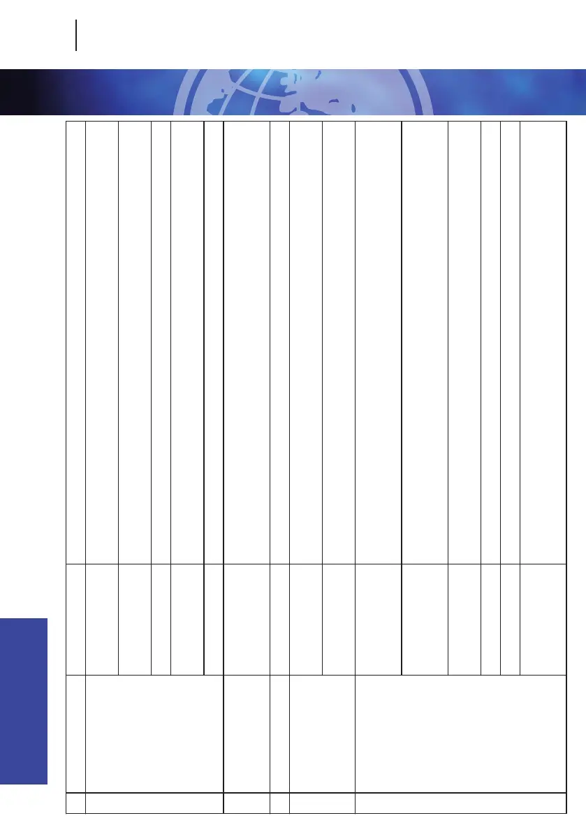
.O 39-04/- 0/33)",%#!53% !#4)/.3
-ACHINEDOESNOT
OPERATE
0OWER3UPPLY
#HECK-AINS0OWERISPLUGGEDINANDSUPPLYSWITCHEDON./4%6ELOPEX-ACHINEWILLRUNONE
CYCLEWHENSWITCHEDONANDLIDINCORRECTPOSITION
-ACHINEISIN@STANDBY
MODE
#HECKBYSWIPINGlNGERACROSSTHE@25.SWITCHTHATMACHINEISNOTIN@STANDBYMODE
"LOWN&USE #ALLFOR3ERVICE
,ID/PEN$ISPLAYED
)FTHELIDISNOTCORRECTLYCLOSEDTHESAFETYMECHANISMWILLPREVENTTHEMACHINEFROMOPERATING
#HECKBYOPENINGANDCLOSINGAGAIN/THERWISECALLFORSERVICE
#ORD #HECKTHATCORDISFULLYENGAGEDINBOTHPLUGANDSOCKETONTHEBACKOFTHEMACHINE
4EMPERATURE)NDICATOR
$ISPLAYED
!TNORMALROOMTEMPERATUREAVERAGEWARMUPTIMEISMINUTESINANUNHEATED
ENVIRONMENTTHISTIMECOULDLENGTHEN)FDISPLAYSTAYSONFORANABNORMALLYLONGTIMECALLFOR
SERVICE
3OLUTIONOVERHEATING $/./453%-!#().%#ALLFOR3ERVICE
&ILMS$O.OT%NTER
THROUGH&ILM%NTRY
'UIDE
-ACHINEISIN@STANDBY
MODE
3WIPElNGERACROSSTHE@2UNSWITCHMACHINEMAYBEIN@STANDBYMODE
4RANSPORT-ODULESNOT
IN0LACE
/PENMACHINELIDANDCHECKCORRECTENGAGEMENTOFTRANSPORTMODULES
&ILM,OSTINTHE-ACHINE
4RANSPORT-ODULESNOT
IN0LACE
#HECKINDIVIDUAL-ODULEBYROTATINGWITHTURNINGTOOLTOMANUALLYFEEDlLM#HECKTHATTHE
TRANSPORTMODULESARECORRECTLYLOCATEDINTHEIRDRIVEDOGSANDRUNNINGCORRECTLY)FNOTRE
LOCATE
7RONG0OSITIONING
OF4RANSPORT-ODULE
3PRING
#HECKTHESPRINGSONTHEMODULESFORCORRECTPOSITIONING5SETHEMODULETURNINGTOOLTO
ROTATETHEBELTSFORINSPECTIONANDRUNATESTlLMTHROUGHTHEMODULEUSINGTHISTOOL
$IRTY4RANSPORT
-ODULES
#HECKTHATALLTRANSPORTMODULESHAVEBEENPUTTHROUGHTHECORRECTCLEANINGPROCEDURE
$AMAGED4ORN"ELT 2EPLACEA-ODULE
%.$/@INTERRUPTBAR #HECKTHATBARISFULLYINTHE@UPPOSITION
3TATIC%LECTRICITYINTHE
$RYER3ECTIONOFTHE
-ACHINE
!DDALITTLEDOMESTICFABRICSOFTENERTOTHEWASHINGWATERWHENWASHINGDRYERMODULETOAVOID
@STATIC)-0/24!.4&ABRICSOFTENERSHOULDBEUSEDONTHE$RYER-ODULE/.,9DO./4USEIT
ONTHE$EVELOPER&IXEROR7ATER-ODULES
Entry guide
Entry guide

Other manuals for Velopex Intra-X