EasyManua.ls Logo

ViewSonic VP930b-3 - Troubleshooting Flow Charts

ViewSonic VP930b-3
76 pages
Print Icon
To Next Page IconTo Next Page
To Next Page IconTo Next Page
To Previous Page IconTo Previous Page
To Previous Page IconTo Previous Page
Loading...
ViewSonic Corporation Confidential - Do Not Copy VP930-3_VP930b-3
39
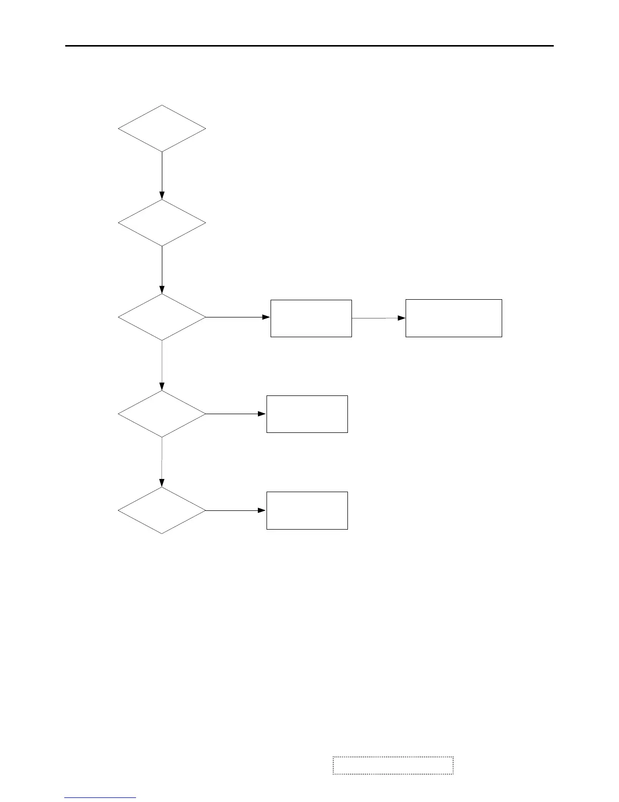
6. Troubleshooting Flow Chart
START
CHECK
MAIN BOARD
5V OK ?
3.3V
OK?
1.8V
OK?
CHECK POWER
BOARD OK?
CHECK I102,
SUROUND CAP
BEAD OK?
N
N
N
Y
Y
CHECK P107 AND
ROUND CAP OK?
CHECK Q102
SUROUND CAP
BEAD OK ?

Related product manuals