EasyManua.ls Logo

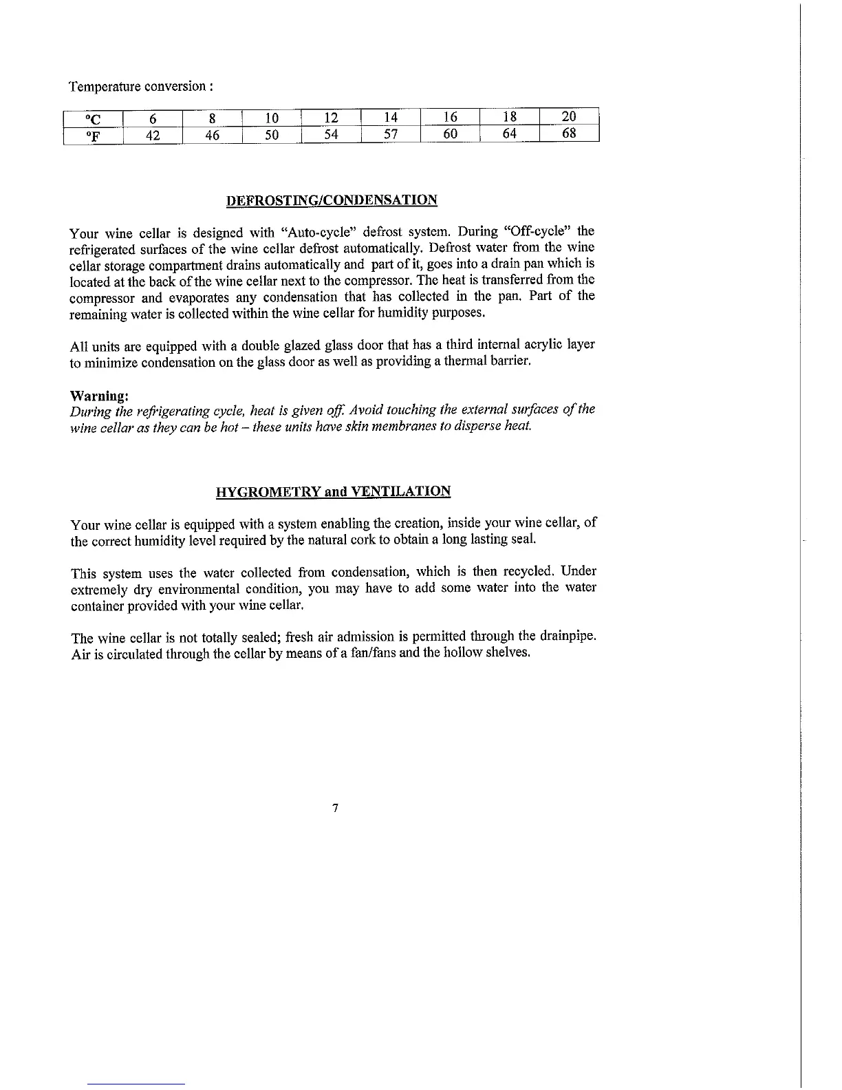
Vintec V30 - DEFROSTING;CONDENSATION; Auto-Cycle Defrost System; Condensation Prevention Features; HYGROMETRY and VENTILATION

Vintec V30
12 pages
Print Icon
To Next Page IconTo Next Page
To Next Page IconTo Next Page
To Previous Page IconTo Previous Page
To Previous Page IconTo Previous Page
Loading...

Related product manuals