EasyManua.ls Logo

Walchem WebMaster - Page 24

Walchem WebMaster
28 pages
Print Icon
To Next Page IconTo Next Page
To Next Page IconTo Next Page
To Previous Page IconTo Previous Page
To Previous Page IconTo Previous Page
Loading...
21
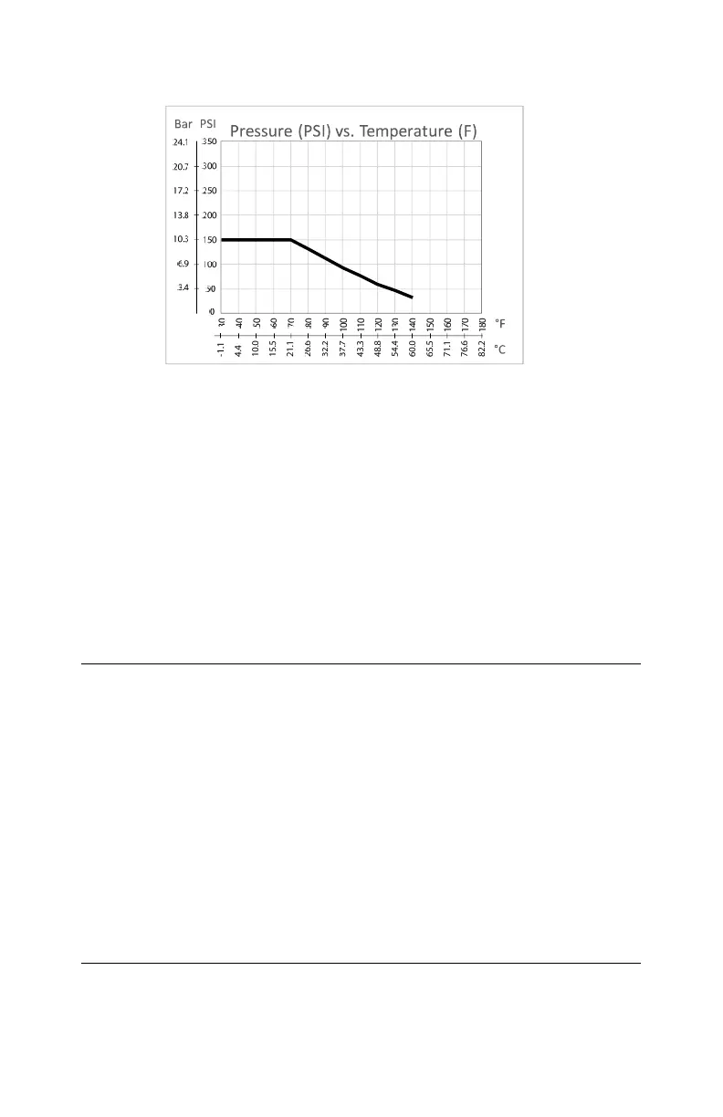
Operating Pressure (Optional flow switch)
Free Chlorine/Bromine
Range (W100, W600, W900)
Range (WDIS)
Range (WM1, WIND)
Resolution
0-2 mg/l
0-1.33 mg/l
0-0.8 mg/l
0.001 mg/l
0-20 mg/l
0-13.25 mg/l
0-8 mg/l
0.01 mg/l
0-200 mg/l
0-132.5 mg/l
0-80 mg/l
0.1 mg/l
Sensitivity
HOCl (100%)
HOBr (100%)
Ozone ClO
2
(900%)
Not for use with isocyanuric acid or stabilized bromine
Sample Flow rate
30 to 100 liters/hour (0.13 to 0.44 gal/min)
pH Range
6.8 8.0 (pH must be stable within ± 0.10)
Conductivity Range
Up to 4% NaCl
Response time
30 sec
Conditioning time
60 min
Free Chlorine/Bromine- Extended pH Range
Range (W100, W600, W900)
Range (WDIS)
Range (WM1, WIND)
Resolution
0-20 mg/l
0-12.5 mg/l
0-7.5 mg/l
0.01 mg/l
Sensitivity
HOCl (100%)
HOBr (100%)
Ozone
ClO
2
(100%)
HOCl with isocyanuric acid
Not for use with stabilized bromine
Sample Flow rate
30 to 100 liters/hour (0.13 to 0.44 gal/min)
pH Range
4.0 12.0
Conductivity Range
No Limit
Response time
2 min
Conditioning time
120 min

Other manuals for Walchem WebMaster

Related product manuals