EasyManua.ls Logo

YOKOGAWA FLXA202 - Page 205

YOKOGAWA FLXA202
274 pages
Print Icon
To Next Page IconTo Next Page
To Next Page IconTo Next Page
To Previous Page IconTo Previous Page
To Previous Page IconTo Previous Page
Loading...
<16. COMMISSIONING OF SENCOM pH/ORP>
16-8
IM 12A01A02-01E 8th Edition : Oct. 01, 2015-00
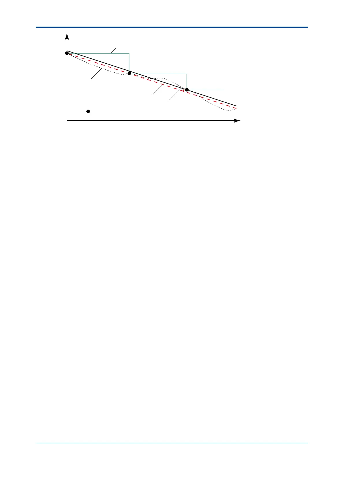
Time
Calibration
Zero, Slope
a
b
c
d
a: Actual change
b: Zero and slope calculated from
the calibration data
c: Zero and slope calculated from
the calibration data and shifted
using the latest calibration data
d: Data from calibration
Figure 16.3 Auto correct
n
ORP settings
l Limits and timing
Zero High/Low
Zero (aspot) high and low limits. During calibration, it is checked whether the new zero exceeds
these high and low limits. Narrowing the band will prevent bad calibration procedures and
calibration of bad sensors, resulting in higher accuracy. The default values should be adjusted to
suit the application and the “users” criterion.
Slope High/Low
Slope (sensitivity) high and low limits. During calibration, it is checked whether the new slope
exceeds these high and low limits. Narrowing the band will prevent bad calibration procedures
and calibration of bad sensors, resulting in higher accuracy. The default values should be
adjusted to suit the application and the “users” criterion.
Step Range
Set the range over which the stability of a measured value is checked. If variations of a measured
value over the stabilization time are within this setpoint, the measured value is judged to have
stabilized.
Stabilization time
This is the time over which the stability of an ORP value is monitored during calibration. When
variations of the ORP value are within the value set in Step Range over this stabilization time
set here, the value is regarded as being stable. If the value has not stabilized within 10 minutes,
calibration is aborted.
Calibr. interval
Set the interval in which a new calibration must take place. If the interval set here is exceeded,
the instrument will give a warning or fault according to the setting on the Error conguration
screen.
l Zero/Slope
You can enter zero and slope values directly.

Table of Contents

Other manuals for YOKOGAWA FLXA202

Related product manuals