EasyManua.ls Logo

Zipro Lite - Page 41

Zipro Lite
Print Icon
To Next Page IconTo Next Page
To Next Page IconTo Next Page
To Previous Page IconTo Previous Page
To Previous Page IconTo Previous Page
Loading...
41
DE
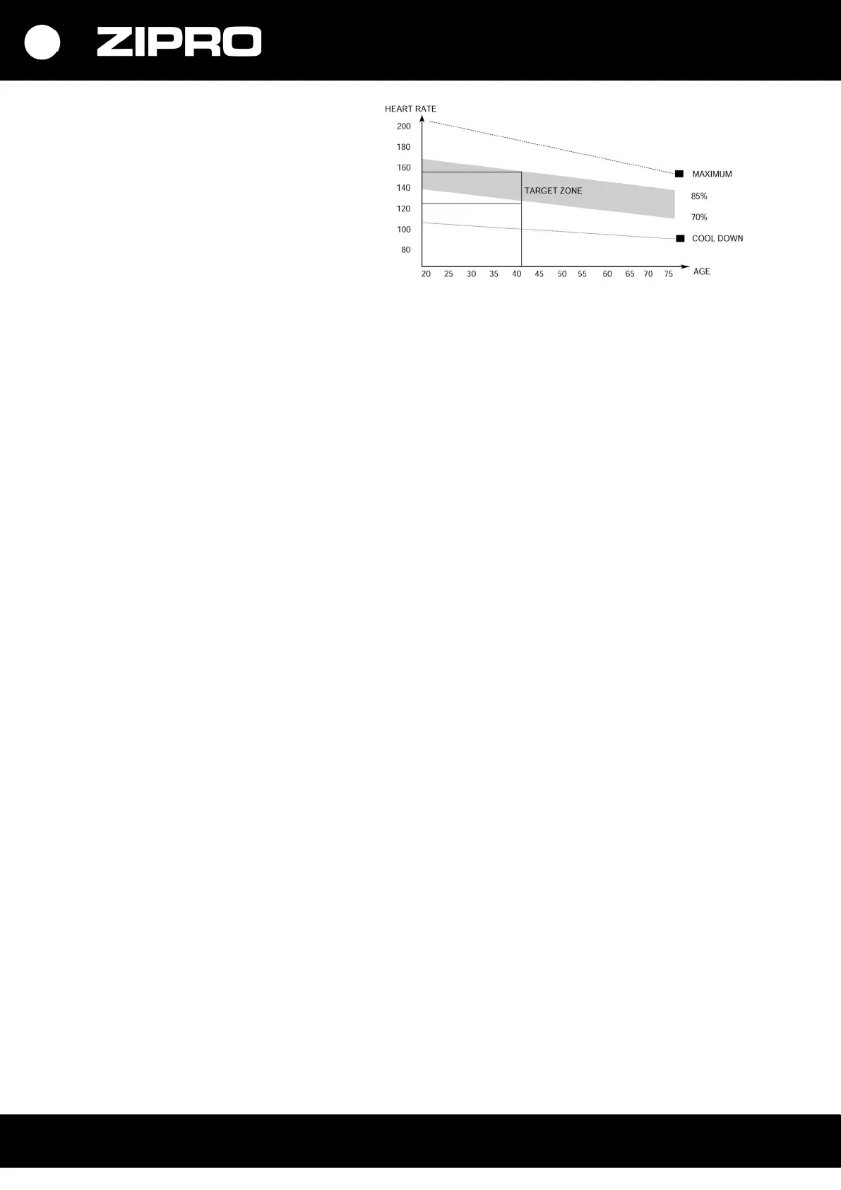
2. TRAININGSPHASE
Das ist die Phase des eigentlichen Trainings.
Trainieren Sie in Ihrem eigenen Tempo, um
einen angemessenen Puls für Ihr Alter zu
erreichen, der in der Tabelle unten gezeigt
wird.
3. ABKÜHLUNGSPHASE
Diese Phase ermöglicht, dass die Blutzirkulation beruhigt wird und die Muskeln sich entspannen. Es handelt
sich hierbei um eine Wiederholung der Aufwärmübungen.
Achten Sie darauf, Ihre Muskeln nicht zu überstrapazieren.

Related product manuals