EasyManua.ls Logo

Zipro Nitro RS - Page 92

Zipro Nitro RS
Print Icon
To Next Page IconTo Next Page
To Next Page IconTo Next Page
To Previous Page IconTo Previous Page
To Previous Page IconTo Previous Page
Loading...
92
LT
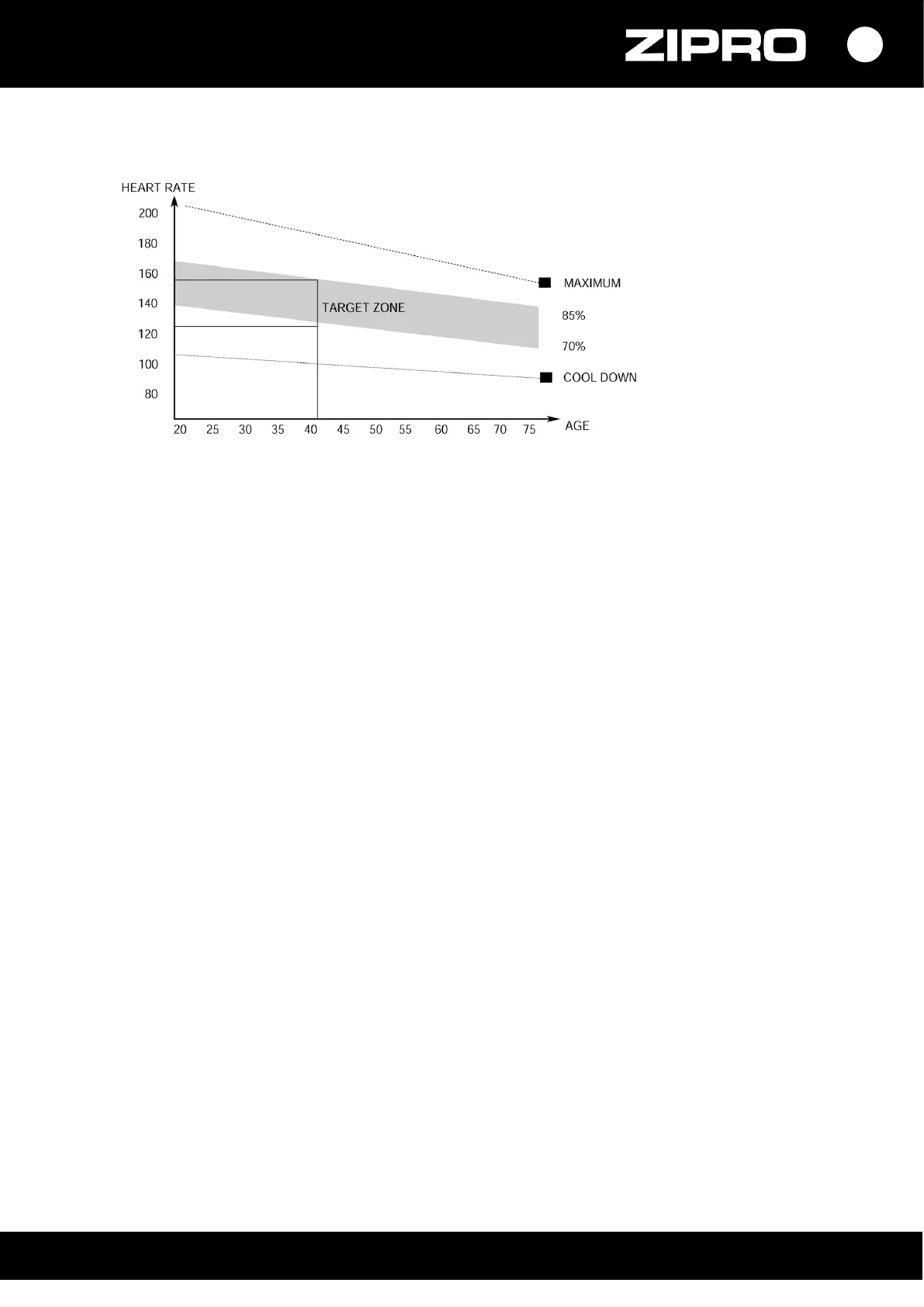
Tai pagrindinė treniruotės dalis. Pasirinkite savo tempą taip, kad būtų pasiektas Jūsų amžių
atitinkantis pulsas (žr. toliau pateiktą iliustraciją).
3. ATSIPALAIDAVIMO ETAPAS
Šis etapas leidžia sulėtinti kraujo apytaką ir atpalaiduoti raumenis. Kartojami apšilimo pratimai.
Nepamirškite, kad raumenys negali būti per daug įtempti.

Related product manuals