EasyManua.ls Logo

ABB ACS880-104

ABB ACS880-104
16 pages
To Next Page IconTo Next Page
To Next Page IconTo Next Page
To Previous Page IconTo Previous Page
To Previous Page IconTo Previous Page
Loading...
10 Reforming the capacitors
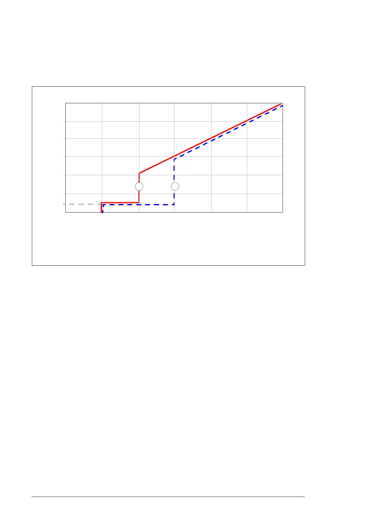
If the non-operational time has been more than two (graph a) or three (graph b) years,
reform the converter using the method in section Reforming with external DC power
supply on page 11 or Reforming with external diode bridge on page 13.
Checking the converter age
The converter serial number defines the week when the converter was manufactured:
7 digits: For example, in 3260034, 3 denotes manufacturing year (2003), 26
manufacturing week and 0034 running manufacturing number.
8 digits: For example, in 14250125, 1 denotes manufacturing country (1 = Finland), 4
manufacturing year (2004), 25 manufacturing week and 0125 running manufacturing
number.
10 digits: For example, in 1173200725, 1 denotes manufacturing country, 17
manufacturing year (2017), 32 manufacturing week and 00725 running manufacturing
number.
Reforming time (hours)
Non-operational time (years)
0
0
21
43 65
1
2
3
4
5
6
a) Product series ACS800, ACS850, ACQ810, ACSM1, ACS880-104, ACS380, ACH480 and
ACS480
b) Product series ACH580, ACQ580, ACS580 and ACS880 except ACS880-104
a b
1/2

Other manuals for ABB ACS880-104

Related product manuals