EasyManua.ls Logo

ABB SPAU 130 C - Technical Data

ABB SPAU 130 C
52 pages
Print Icon
To Next Page IconTo Next Page
To Next Page IconTo Next Page
To Previous Page IconTo Previous Page
To Previous Page IconTo Previous Page
Loading...
12
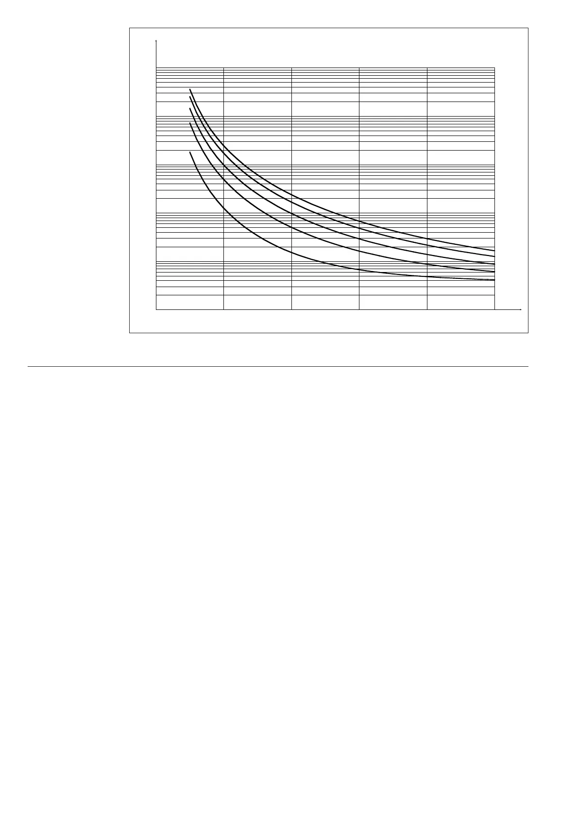
0,05
0,2
0,4
0,7
1,0
k>
U/U>1,51,41,31,21,11,0
0,01
0,1
1
10
100
1000
t/s
Fig. 6. Characteristic curve set B of overvoltage stage U>.
Technical data Overvoltage stage U>
Start voltage U> 0.8...1.6 x U
n
Start time 0.1 s or 30 s
Operate time at definite time mode of operation 0.05...1.00 s, 0.5...10.0 s or 5...100 s
Time multiplier k> at inverse time characteristic 0.05...1.00
Reset time, typically 60 ms
Drop-off/pick-up ratio, typically 0.97
Operate time accuracy at definite time
mode of operation and start time accuracy ± 2% of set value or ± 25 ms
Operate time accuracy at inverse time characteristic ± 25 ms or the inaccuracy appearing
when the measured voltage varies ± 3%
Operation accuracy ± 3% of set value
Undervoltage stage U<
Start voltage U< 0.4...1.2 x U
n
Start time 0.1 s or 30 s
Operate time at definite time characteristic 1...12 s or 10...120 s
Reset time, typically 60 ms
Drop-off/pick-up ratio, typically 1.03
Operate time accuracy and start time accuracy ± 2% of set value or ± 25 ms
Operation accuracy ± 3% of set value

Related product manuals