EasyManua.ls Logo

Adeunis RF ARF33-PRO - AT commands; Description; The command set

Default Icon
Print Icon
To Next Page IconTo Next Page
To Next Page IconTo Next Page
To Previous Page IconTo Previous Page
To Previous Page IconTo Previous Page
Loading...
39
208210A_UG_V1.6_ARFx3-PRO
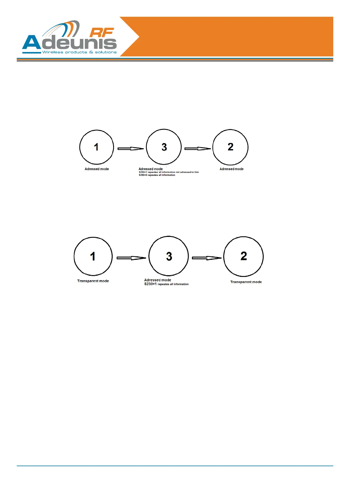
5.3. Repeater mode
A repeater function is available in Addressed mode and in Transparent mode.
In Addressed mode, a product set in repeater mode also acts as a modem.
The use of a repeater in Transparent mode is different. The repeater product can not act as a modem.
• In this case, the products 1 and 2 are in Transparent mode
• ProductNo.3(repeater)mustbesetinAdressedmodeandconguredtorepeatall(registerS250=1)
• The minimum size of the package to be repeated must be 2 bytes.
5.4. The transmitter-receivers machine status
When the device is operating in transmitter-receiver mode, the «RF transmission» device’s status is:
• Transmitter-receiver idle: by default, the transmitter-receiver waits for incoming data on the RS232 link and a
radio frame on the radio link.
• The RS232 link takes priority over the radio link (if a radio frame is demodulated, certain RS232 characters
are detected on the serial link, the radio frame will be ignored and the incoming data on the RS232 link will
be processed).
• Processing of incoming data on the RS232: Incoming data on the RS232 link is placed in a memory buffer.
The data in the memory buffer is sent to a radio frame (RF modulation is initiated) when at least one of the
following conditions occur:
• Ifaninterruption(silencelongerthantheS217timeout)isdetectedontheincomingowfromtheseriallink
(no more data to be sent).
• If the size of the radio memory buffer is reached (the number of characters in the buffer is greater than or
equal to the S218 size).
• Processing of the incoming radio frame: Valid data is extracted from the incoming radio frame and placed in
the internal memory buffer. Data in the internal memory buffer is sent to the output via the RS232 protocol.

Table of Contents