EasyManua.ls Logo

Agilent Technologies E4428C - Page 270

Agilent Technologies E4428C
366 pages
Print Icon
To Next Page IconTo Next Page
To Next Page IconTo Next Page
To Previous Page IconTo Previous Page
To Previous Page IconTo Previous Page
Loading...
260 Agilent N518xA, E8663B, E44x8C, and E82x7D Signal Generators Programming Guide
Creating and Downloading Waveform Files
Programming Examples
[status, status_description] = agt_sendcommand(io, 'SOURce:FREQuency 20000000000');
[status, status_description] = agt_sendcommand(io, 'POWer 0');
% define the ARB sample clock for playback
sampclk = 40000000;
% download the iq waveform to the PSG baseband generator for playback
[status, status_description] = agt_waveformload(io, IQData, 'pulsepat', sampclk, 'play', 'no_normscale',
Markers);
% turn on RF output power
[status, status_description ] = agt_sendcommand( io, 'OUTPut:STATe ON' )
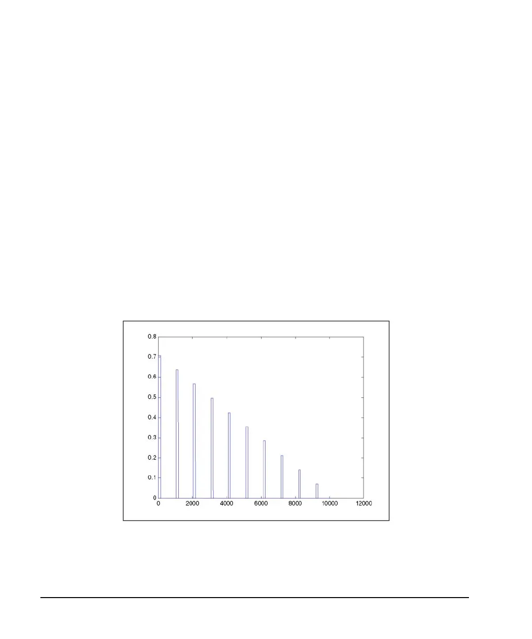
You can test your program by performing a simulated plot of the in-phase modulation signal in
Matlab (see Figure 5- 2 on page 260). To do this, enter plot (i) at the Matlab command prompt.
Figure 5-2 Simulated Plot of In-Phase Signal
The following additional Matlab M- file pulse programming examples are also available on the
Documentation CD- ROM for your Agilent MXG and PSG signal generator:

Table of Contents

Other manuals for Agilent Technologies E4428C

Related product manuals