EasyManua.ls Logo

Alpha CD13R - Page 31

Alpha CD13R
36 pages
Print Icon
To Next Page IconTo Next Page
To Next Page IconTo Next Page
To Previous Page IconTo Previous Page
To Previous Page IconTo Previous Page
Loading...
31
Alpha CD13R, 18R, 24R - Fault Finding
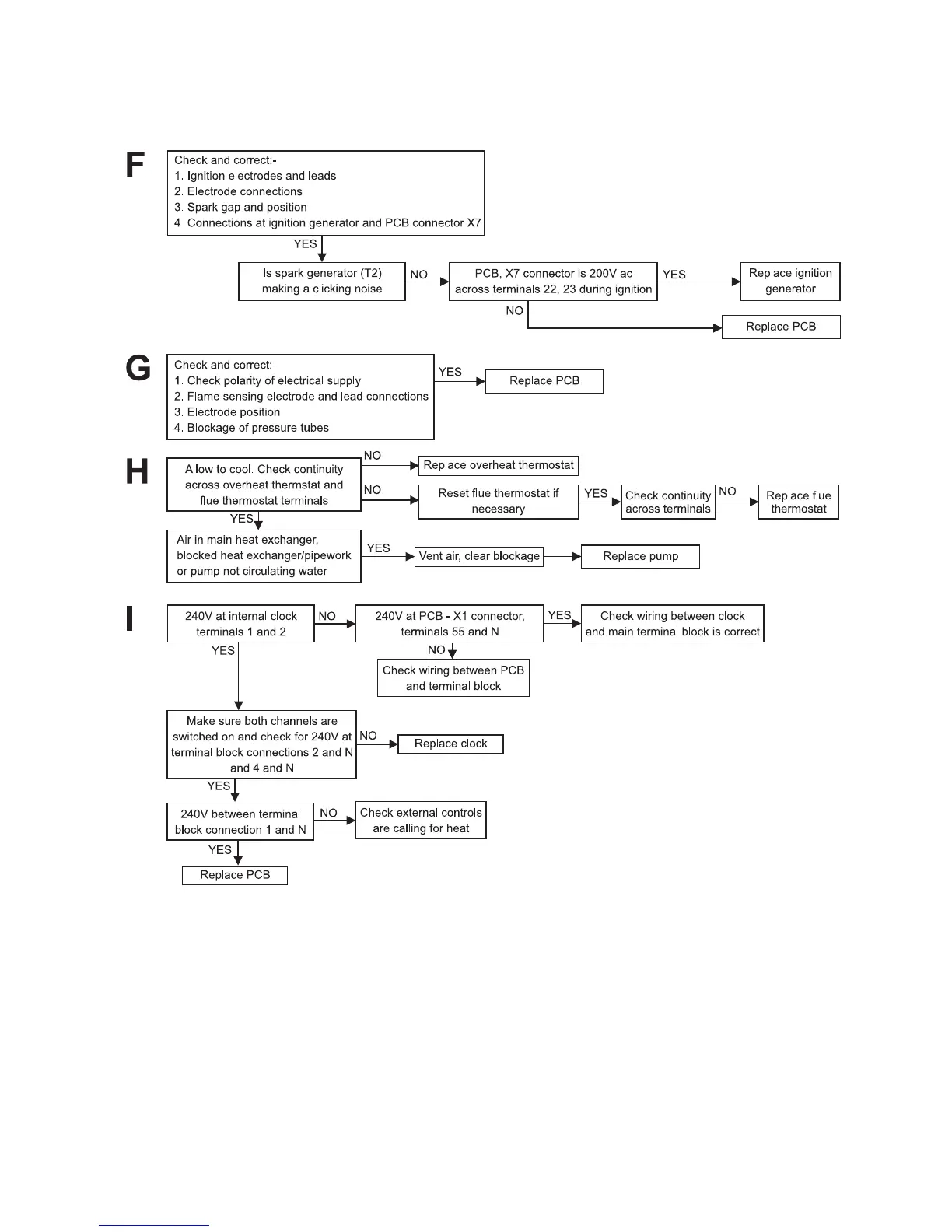
10.3 FAULT FINDING SOLUTIONS F to I

Related product manuals