EasyManua.ls Logo

Alpine IVA-D105 - Disc Navigation and Repeat; Program;Playlist Skip and Folder Selection; Repeat Playback Modes

Alpine IVA-D105
83 pages
Print Icon
To Next Page IconTo Next Page
To Next Page IconTo Next Page
To Previous Page IconTo Previous Page
To Previous Page IconTo Previous Page
Loading...
27-EN
+01GB05IVAD105.fm
ALPINE IVA-D105 68-08564Z59-A (EN)
Setting the Bass Bandwidth (Q-Factor):
Changes the boosted bass bandwidth to wide or narrow.
A wide setting will boost a wide range of frequencies
above and below the center frequency. A narrower
setting will boost only frequencies near the center
frequency.
Touch [ ] or [ ] of Q (BASS BANDWIDTH) to select the desired
bass bandwidth.
Setting range: 1, 1.25, 1.5, 2
The bass level settings will be individually memorized for each
source (FM, AM, CD, etc.) until the setting is changed. The bass
frequency and bass band width settings adjusted for one source are
effective for all other sources (FM, AM, CD, etc.).
Setting the Treble Center Frequency:
The displayed Treble frequency is emphasized.
Touch [ ] or [ ] of FREQ. to select the desired treble center
frequency.
Setting range:10kHz, 12.5kHz, 15kHz, 17.5kHz
Setting the treble level:
You can emphasize the treble frequency.
Touch [ ] or [ ] of LEVEL to select the desired treble level.
Setting range: -7 to +7
The treble level settings will be individually memorized for each
source (FM, AM, CD, etc.) until the setting is changed. The Treble
frequency settings adjusted for one source are effective for all other
sources (FM, AM, CD, etc.).
Adjusting the Balance:
Touch [] or [] of BALANCE to adjust the sound
volume of the left and right speakers.
Setting range: L15 to R15
Adjusting the Fader:
Touch [] or [] of FADER to adjust the volume of the
front and rear speakers.
Setting range: F15 to R15
Setting the Loudness:
Loudness introduces a special low- and high-frequency
emphasis at low listening levels. This compensates for
the ear’s decreased sensitivity to bass and treble sound.
Touch [ ] or [ ] of LOUDNESS to set to ON or OFF.
Adjusting the Subwoofer Level:
Touch [] or [] of SUBW. LV to adjust the subwoofer
output.
Setting range: 0 to 15
The level adjustment becomes available when ON is set in
“Subwoofer On and Off” (page 38).
Adjusting NAV. LEVEL:
Touch [] or [] of NAV. MIX LV to adjust the volume of
navigation interruption.
Setting range: 0 to 15
This adjustment becomes available when NAV.MIX is turned on in
“Setting the Navigation Interruption” (page 37).
The setting navigation interruption is not displayed if an external
audio processor not compatible with NAV.MIX is connected.
Turning Defeat ON or OFF:
Touch [] or [] of DEFEAT to set to ON or OFF.
If you set defeat to ON, adjusted bass/treble values return to
their initial settings.
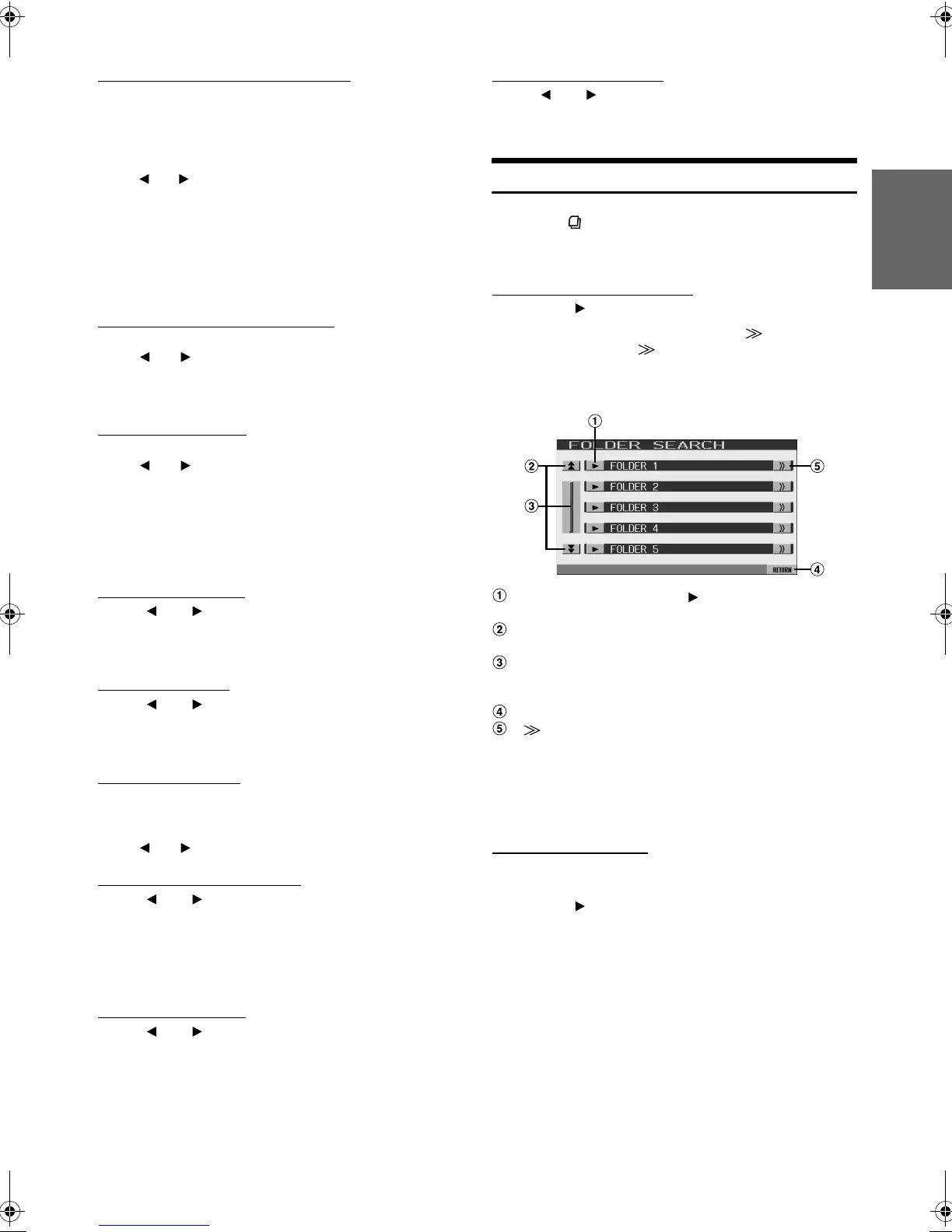
Search Function
1
Touch [] on the function guide while in the CD or
MP3/WMA/AAC or DivX
®
mode.
Search list screen is displayed.
Select a desired track or folder.
Touch [] for direct playback.
When a hierarchical list is prepared, [] will be
displayed. Touch [] to display the respective
hierarchy list screens.
Display Example for Search Screen
Select directly by touching [], and its Track (or folder/
file) is played back.
Scrolls the page list up or down.
(Displayed when the list items cannot be displayed entirely.)
Scrolls the list item by item.
Touching and holding will scroll continuously.
(Displayed when the list items cannot be displayed entirely.)
Touch [RETURN] to return to the previous list screen.
[] is displayed if there is a hierarchical list.
The search function does not work on the DVD, Video CD or CD
changer.
A folder list is displayed only during MP3/WMA playback when the
DVD player (DVA-5210) or changer compatible with MP3 is
connected.
Internal CD player mode
1 The track list* screen appears.
* If the CD is text compatible only.
2 Touch [] of a desired track text*.
The selected track will be played back.
“TRACK” is displayed in the track text list if there is no text
on the disc.
+01GB00IVAD105.book Page 27 Monday, January 15, 2007 4:02 AM

Table of Contents

Related product manuals