EasyManua.ls Logo

Alpine IVA-D105 - SAT Radio Search Functions; XM and SIRIUS Search Modes; Direct Channel Selection

Alpine IVA-D105
83 pages
Print Icon
To Next Page IconTo Next Page
To Next Page IconTo Next Page
To Previous Page IconTo Previous Page
To Previous Page IconTo Previous Page
Loading...
55-EN
+01GB06IVAD105.fm
ALPINE IVA-D105 68-08564Z59-A (EN)
Search Function (XM mode)
1
In XM mode, touch [].
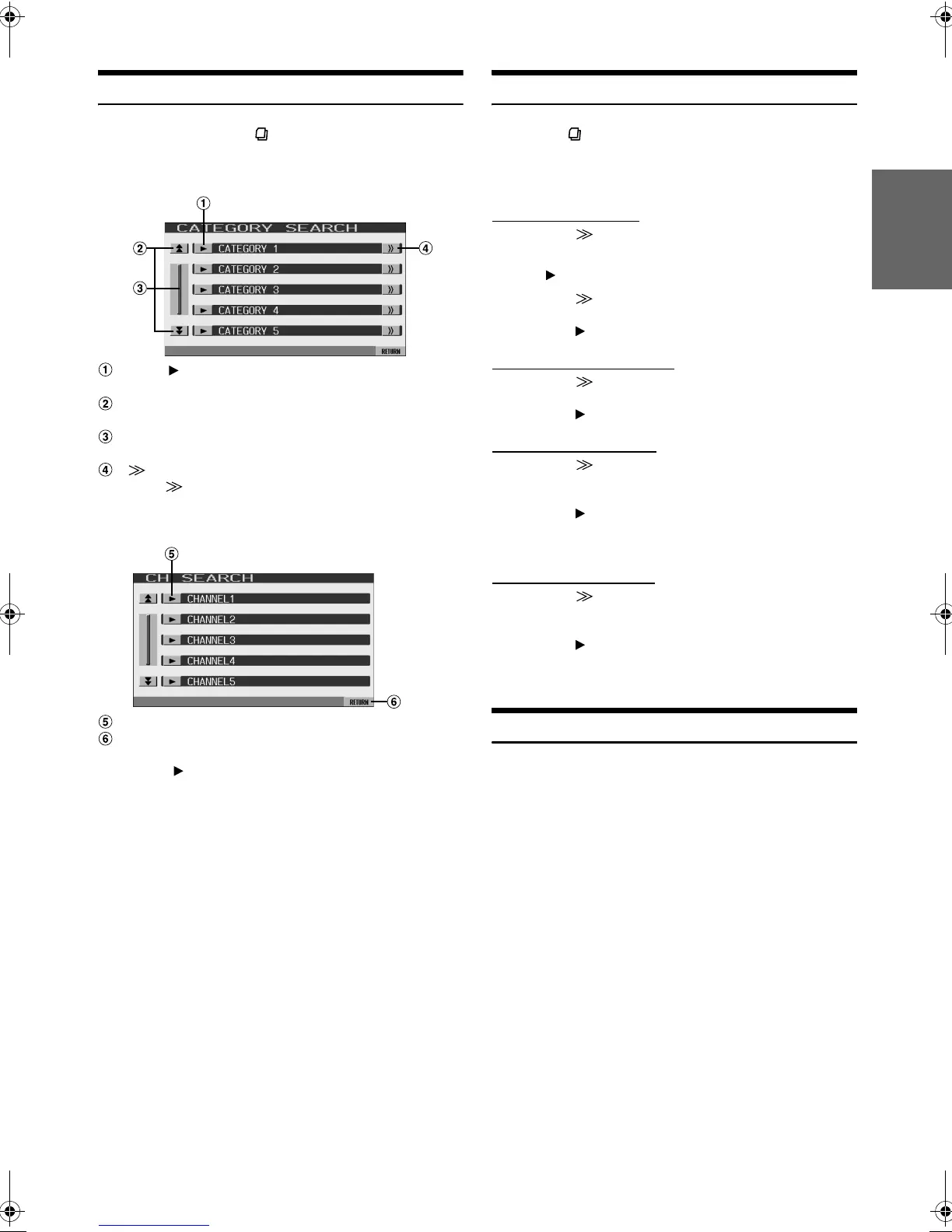
The category title list is displayed.
Screen example for category search list
Touch [] to receive the selected category channel
directly.
Scrolls the page list up or down.
(Displayed when the list items cannot be displayed entirely.)
Scrolls the list item by item.
Touching and holding will scroll continuously.
[] is displayed if there is a hierarchical list.
Touch [] to change the channel name search screen of
the selected category.
Screen example for channel name search list
The selected channel is received.
Returns to the category search list.
2
Touch [] of the selected Category or Channel
name.
The channel in the selected category is tuned.
When the channel number is selected, the channel is displayed in
order of channel number. When the channel name is selected, the
channel is displayed in alphabetical order.
Search Function (SIRIUS mode)
1
Touch [] in the SIRIUS mode.
SEARCH menu list is displayed.
2
Select the desired SEARCH menu.
Searching by Category
1 Touch [ ] of CATEGORY.
The CATEGORY search screen is displayed.
Touch [ ] to receive the selected category channel directly.
2 Touch [ ] to change to channel name search screen of
the selected category.
3 Touch [ ] to receive the selected channel name.
Searching by Channel Name
1 Touch [ ] of CHANNEL.
The CH search screen is displayed.
2 Touch [ ] to receive the selected channel name.
Searching by Artist Name
1 Touch [ ] of ARTIST.
The artist name of each channel is displayed in order of
channel number.
2 Touch [ ] of the desired artist.
The channel of the selected artist being broadcast is
received.
Searching by Song Name
1 Touch [ ] of SONG.
The song name of each channel is displayed in order of
channel number.
2 Touch [ ] of the desired song.
The channel of the selected song being broadcast is
received.
Selecting the Channel directly
You can directly select the channel number on the display of the
numeric keypad.
1
Touch [PAGE1/3] twice in the XM or SIRIUS mode.
The function guide appears.
2
Touch [10KEY].
The numeric keypad input screen is displayed.
3
Touch to input the channel number.
4
Touch [ENT].
The selected channel is received.
+01GB00IVAD105.book Page 55 Monday, January 15, 2007 4:02 AM

Table of Contents

Related product manuals