EasyManua.ls Logo

Amico Apollo MS-SC - Page 29

Amico Apollo MS-SC
48 pages
Print Icon
To Next Page IconTo Next Page
To Next Page IconTo Next Page
To Previous Page IconTo Previous Page
To Previous Page IconTo Previous Page
Loading...
www.amico.com 29
Control Boxes with Battery Back Up Only
The charging current/time by use of the battery back-up.
Example BA1800: Maximum charging current = 0.25 X battery capacity (Ah)
BA1800: 0.25 x 1.2 = Approx. 0.3 A.
Charging time: Approximately 1.2 Ah: 0.3 A = Approx. 4-5 hours.
Example BAJ1/2: Maximum charging current = 0.25 x 2.9 Ah = Approx. 0.7 A
Charging time: Approximately 2.9 Ah : 0.7 A = 4 – 5 hours
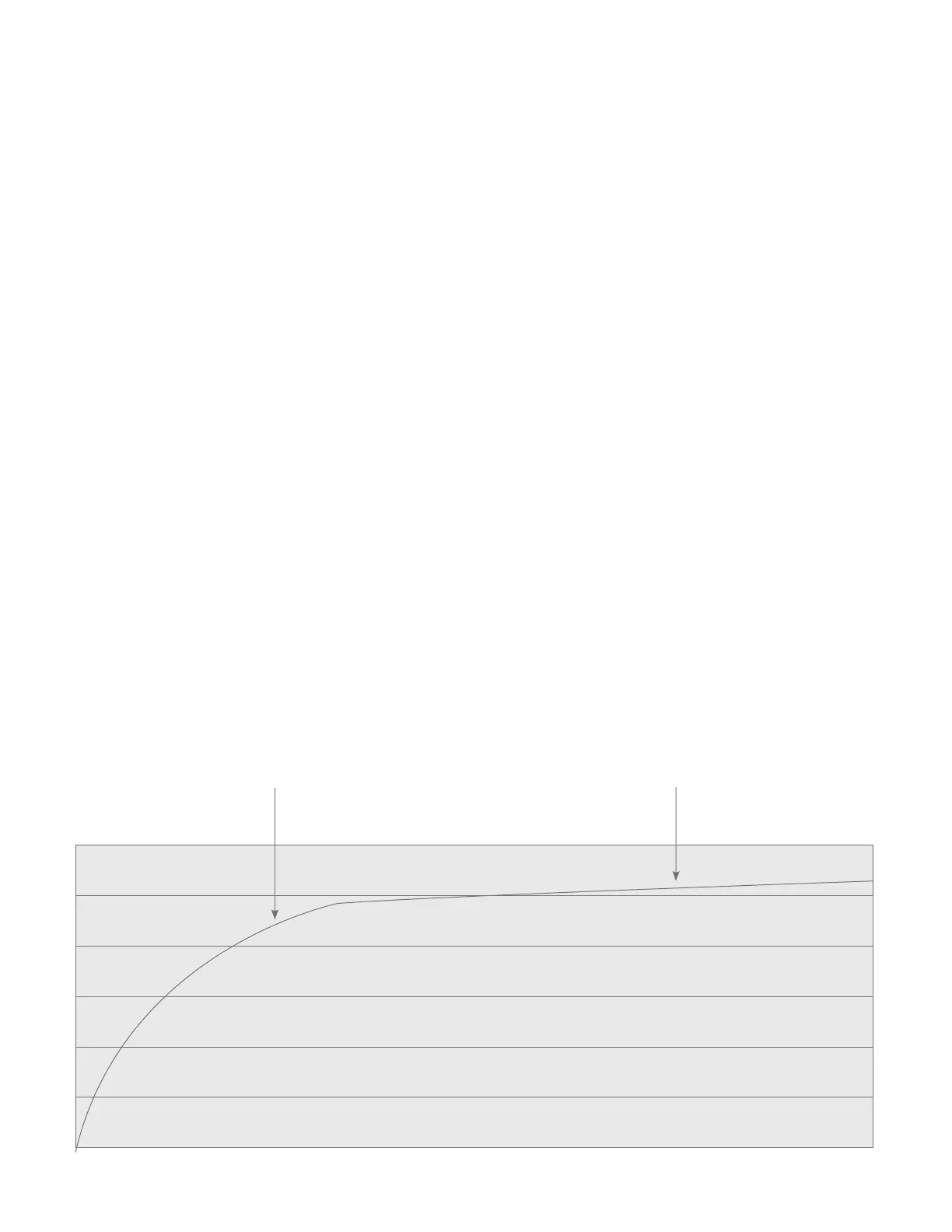
Please observe the curve below or see further information regarding battery characteristics in Figure 1 and 2.
Charging characteristics:
In theory, if the battery capacity is approximately 0% it takes about 4-5 hours to reach 80% of the battery
capacity level.
We recommend a charging time up to approximately 10 hours which gives 100% capacity.
At 100% capacity the battery will not discharge as quickly as it would at 80% capacity.
The internal and external battery charging characteristics are identical.
The battery alarm on a LINAK CB will activate at approx. 18 V. The charging of the battery must be started
before reaching this level to maintain as long a battery life as possible.
We therefore recommend you always to have the control box plugged to the main power, to keep the
batteries fully charged.
Battery Capacity (%)
80% capacity ~ up to 4-5 hours charging time
depending on the level of discharging
100% capacity ~ up to 10 hours charging time
depending on the level of discharging
Battery Charging Characteristics
Charging Time

Related product manuals