EasyManua.ls Logo

Antec CP-850 - Page 2

Antec CP-850
8 pages
Print Icon
To Next Page IconTo Next Page
To Next Page IconTo Next Page
To Previous Page IconTo Previous Page
To Previous Page IconTo Previous Page
Loading...
U
SER
S
M
ANUAL
CP-850
P
OWER
S
UPPLY
A
N
EW
S
TANDARD
The CP Series is Antec’s exclusive new high-performance power supply unit (PSU). It balances size,
cost, and plenty of quality power by combining cutting-edge technology with a new form factor.
The design features in this expanded form factor allow for improved component selection, better
circuit board layout, more room between components for airflow, and a straight-through air path
that takes full advantage of the large fan. Larger fans move more air at lower RPMs and make less
noise. Antec’s new CPX form factor has better airflow than any standard size PSU that uses a large
fan. The CPX form factor is exclusively compatible with Antec’s cutting-edge Gaming and
Performance One cases, including the Twelve Hundred, P183 and P193. For an updated list of
models supported please visit www.antec.com/cp850.
S
TANDARDS AND
F
EATURES
The connectors and power specifications of the CP-850 PSU are all compatible with the ATX12V
v2.3 and EPS12V v2.91 specifications. The CP-850 features Universal Input, which automatically
senses when you connect the power supply to any AC power source between 100~240V without
setting a voltage switch. This power supply also features Active Power Factor Correction (Active
PFC), which improves the power factor value of the power supply by altering the input current wave
shape, helping power transmission across the grid.
S
YSTEM
P
ROTECTION
A variety of industrial-grade safety circuitry will help protect your computer: OVP (Over Voltage
Protection), SCP (Short Circuit Protection), and OCP (Over Current Protection). Sometimes the PSU
will “latch” into a protected state. You will need to power off the PSU and clear the fault before it
will function again. There are no user-replaceable fuses in your CP-850.
S
PECIAL
Q
UIET
C
OMPUTING
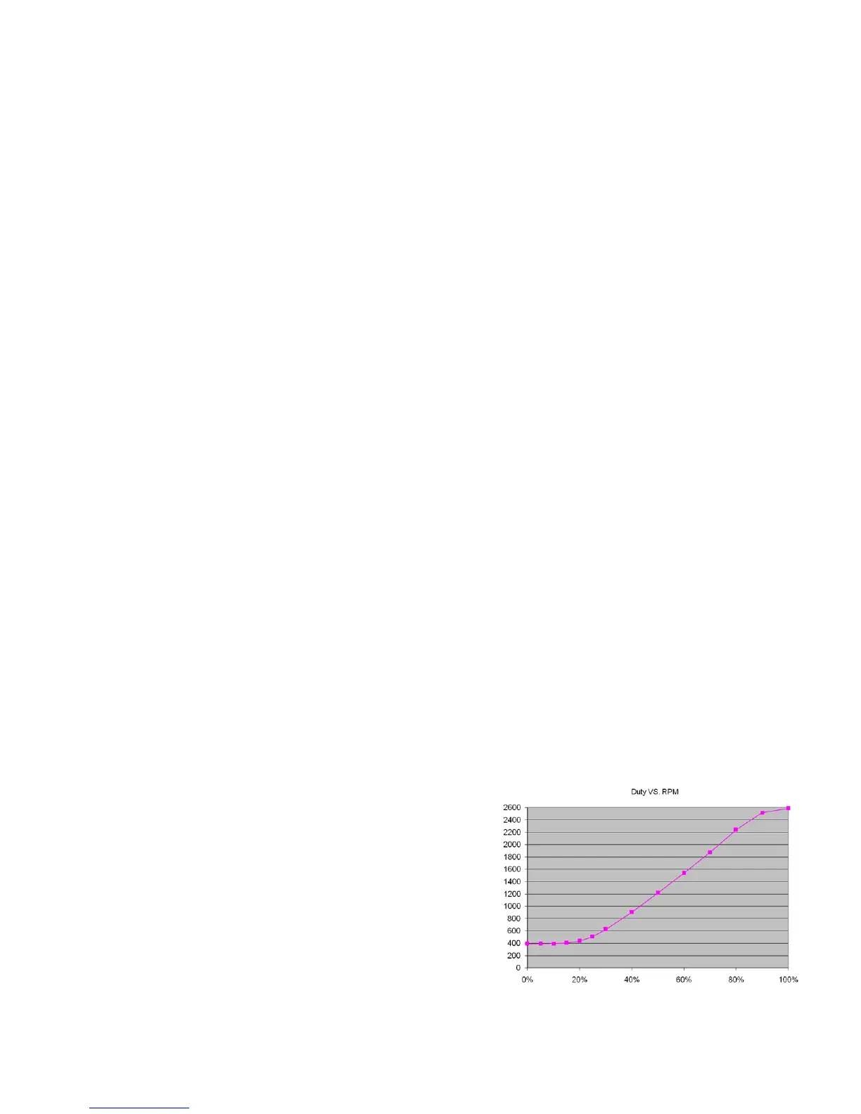
PWM
FAN
Another innovation in your CP-850 is the use of pulse
width modulation (PWM) fan technology. A PWM fan can
spin much more slowly and be quieter than a voltage-
controlled fan. The PSU uses a PWM fan that can spin as
slow as 390 RPM or as fast as 2600 RPM, depending on
load and ambient temperature. It should be nearly
inaudible when your computer is idling, and the PSU will
vary the fan speed depending on the load of your
computer. The location of the PSU fan also helps to
reduce the sound emitted by your computer.

Related product manuals