EasyManua.ls Logo

Antec TRUEPOWER TP-650 - Advanced PSU Solution; Standards and Features; System Protection; 80 PLUS Bronze Certification

Antec TRUEPOWER TP-650
8 pages
Print Icon
To Next Page IconTo Next Page
To Next Page IconTo Next Page
To Previous Page IconTo Previous Page
To Previous Page IconTo Previous Page
Loading...
U
SER
S
M
ANUAL
T
RUE
P
OWER
N
EW
S
ERIES
TP-650
P
OWER
S
UPPLY
T
HE
A
DVANCED
PSU
S
OLUTION
The TruePower New series is Antec’s full featured line of high-quality, reliable power supply units (PSUs). Combining
cutting-edge technology and an efficient design, the TruePower New series is the ideal solution for elite system
builders and quality-minded enthusiasts alike. With +12V rails that are regulated to ±3%, the TruePower New series
delivers full rated power and tight voltage regulation.
S
TANDARDS AND
F
EATURES
The TP-650 PSU is compatible with ATX12V v2.3 and EPS12V v2.91 specifications. The TP-650 features Universal
Input, which automatically senses when you connect the power supply to any AC power source between 100~240V
without having to worry about setting a voltage switch. This power supply also features Active Power Factor
Correction (Active PFC), which improves the power factor value of the power supply by altering the input current
wave shape, which helps power transmission across the grid.
S
YSTEM
P
ROTECTION
A variety of industrial-grade safety circuitry will help protect your computer: OVP (Over Voltage Protection), SCP
(Short Circuit Protection), and OCP (Over Current Protection). Sometimes the PSU will “latch” into a protected
shutdown state. This means that you will need to power off the PSU and clear the fault before it will function again.
There are no user-replaceable fuses in your TP-650.
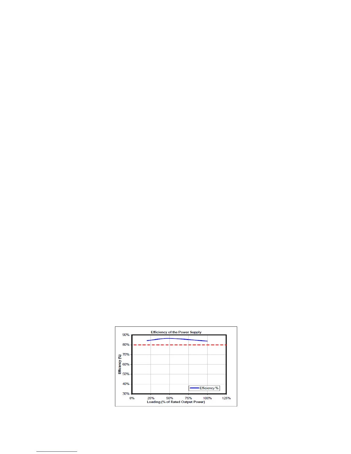
80
PLUS®
B
RONZE
C
ERTIFICATION
80 PLUS® certification is the most widely recognized independent standard in power supply efficiency. An 80 PLUS®
certified power supply uses less energy and generates less heat to stay cooler, run quieter and last longer. The
TP-650 PSU earns the rare 80 PLUS® Bronze level of efficiency, meaning that it has been certified to be at least 82%
efficient at a wide range of operating loads; this will lower your operating costs and help protect the environment.

Related product manuals