EasyManua.ls Logo

Bosch UniversalMulti 18V-32 - Operation; Starting Operation

Bosch UniversalMulti 18V-32
137 pages
Go to English
To Next Page IconTo Next Page
To Next Page IconTo Next Page
To Previous Page IconTo Previous Page
To Previous Page IconTo Previous Page
Loading...
English | 21
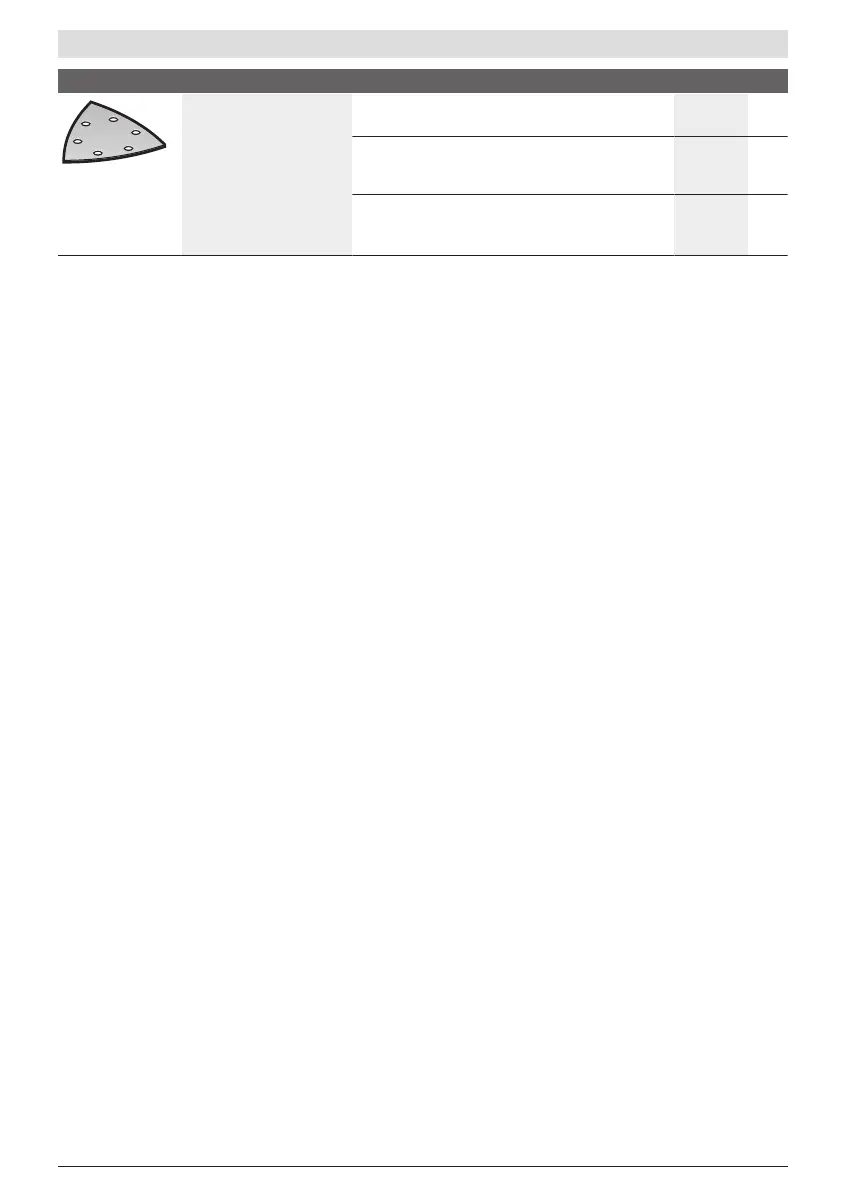
Sanding sheet Material Application Grit
White quality
Paint
Varnish
Filler
Bodyfiller
For sanding down paint Coarse 40
60
For sanding undercoats (e.g. removing brushstrokes,
paint drips and paint runs)
Medium 80
100
120
For final sanding of primers prior to painting Fine 180
240
320
Attaching/changing the sanding sheet on the sanding
plate
The sanding plate(12) is fitted with a hook-and-loop fasten-
ing, allowing sanding sheets with a hook-and-loop backing to
be secured quickly and easily.
Tap the hook-and-loop fastening of the sanding plate(12)
before fitting the sanding sheet(13) to facilitate maximum
adhesion.
Position the sanding sheet(13) so that it is flush with one
side of the sanding plate(12), then place the sanding sheet
on the sanding plate and press it on firmly.
To ensure optimum dust extraction, make sure that the
punched holes in the sanding sheet are aligned with the
drilled holes in the sanding plate.
To remove the sanding sheet(13), take hold of it by a corner
and pull it away from the sanding plate(12).
You can use all sanding sheets, polishing and cleaning
fleeces from the Delta 93mm series in theBosch range of
accessories.
Sanding accessories such as fleece/polishing felt are at-
tached to the sanding plate in the same way.
Orbital stroke rate level "4" is the maximum level that should
be used when working with sanding accessories such as
sanding sheets and sanding plates. If the orbital stroke rate
is too high, this will considerably increase the wear of the ac-
cessory and can also lead to premature breakdown. Please
take note of the information on the accessory or on the pack-
aging of the accessory.
Dust/Chip Extraction
The dust from materials such as lead paint, some types of
wood, minerals and metal can be harmful to human health.
Touching or breathing in this dust can trigger allergic reac-
tions and/or cause respiratory illnesses in the user or in
people in the near vicinity.
Certain dusts, such as oak or beech dust, are classified as
carcinogenic, especially in conjunction with wood treatment
additives (chromate, wood preservative). Materials contain-
ing asbestos may only be machined by specialists.
Use a dust extraction system that is suitable for the ma-
terial wherever possible.
Provide good ventilation at the workplace.
It is advisable to wear a P2 filter class breathing mask.
The regulations on the material being machined that apply in
the country of use must be observed.
u Avoid dust accumulation at the workplace. Dust can
easily ignite.
Connecting the Dust Extraction (accessory)
(seefigureD)
The dust extraction system (22) is only designed for use
with the sanding plate (12); it serves no purpose when used
together with other accessories.
Always connect a dust extraction system for sanding.
Remove the accessory and the depth stop (18) for fitting the
dust extraction system (22).
Slide the dust extraction system (22) as far as it will go over
the tool holder (9) onto the collar of the power tool. Turn the
dust extraction system to the required position (not directly
under the power tool). Push the clamping lever (23) shut to
fix the dust extraction system in position.
Insert the dust extraction adapter(20) into an extraction
hose(19) until you hear it click into place. Connect the dust
extraction adapter(20) to the extraction outlet(21) and the
extraction hose(19) to a dust extractor.
You will find an overview of how to connect various dust ex-
tractors at the end of these operating instructions.
The dust extractor must be suitable for the material being
worked.
When extracting dry dust that is especially detrimental to
health or carcinogenic, use a special dust extractor.
Operation
Starting Operation
Switching On/Off
u Make sure that you are able to press the On/Off switch
without releasing the handle.
To switch on the power tool, slide the on/off switch (1) for-
ward so that "I" appears on the switch.
The electronic soft start limits the torque when the power
tool is switched on and increases the service life of the mo-
tor.
The Constant Electronic keeps the orbital stroke rate at no
load and under load virtually consistent, guaranteeing uni-
form performance.
To switch off the power tool, slide the on/off switch (1)
backwards so that "0" appears on the switch.
Note: If the power tool shuts down automatically because
the battery is flat or overheated, switch the power tool off
Bosch Power Tools 1 609 92A 87V | (07.12.2023)

Related product manuals