EasyManua.ls Logo

Camus Hydronics DFH1200 - FIELD STARTUP PROCEDURES

Camus Hydronics DFH1200
53 pages
Print Icon
To Next Page IconTo Next Page
To Next Page IconTo Next Page
To Previous Page IconTo Previous Page
To Previous Page IconTo Previous Page
Loading...
28
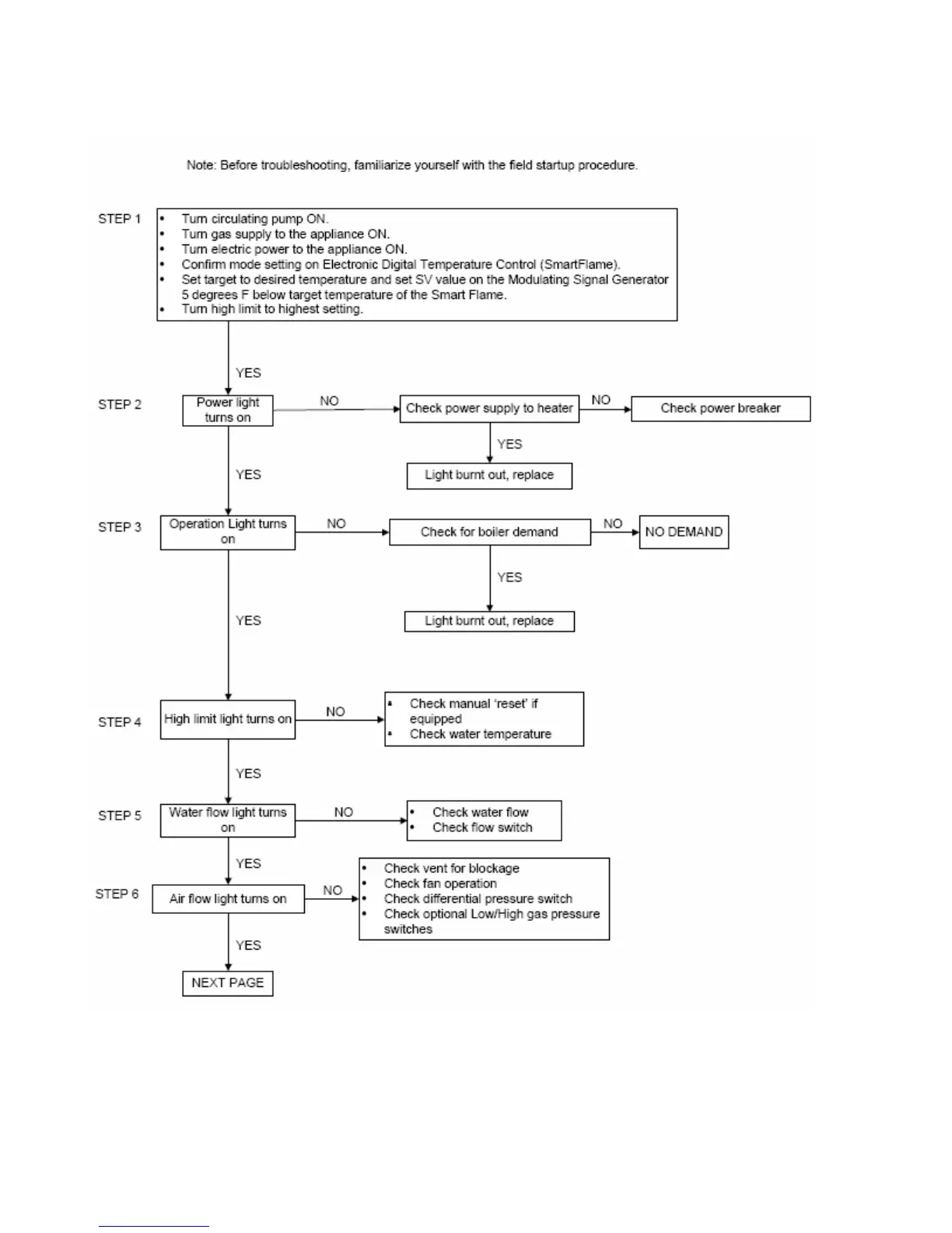
PART 9 TROUBLE SHOOTING

Table of Contents

Related product manuals