EasyManua.ls Logo

CBE CB510 - Allgemeine Informationen

CBE CB510
Print Icon
To Next Page IconTo Next Page
To Next Page IconTo Next Page
To Previous Page IconTo Previous Page
To Previous Page IconTo Previous Page
Loading...
D
DEUTSCH
D
10
ALLGEMEINEINFORMATIONEN
CB510/516
DESULPHATION BULK ABSORPTION FLOAT STAND-BY REFRESH
STROM (A)
SPANNUNG(V)
WahlschalteraufStellung “A
Schwelle
1
2
3
4
5
6
15,2V
15,2V
15,2V
Max2h
Max14,1V
Max14,4V
Max14,7V
1,5h
8h
3h
13,5V
13,8V
13,8V
Max15h
0A
0A
0A
V<13,0V
14,1V
14,4V
14,7V
Max1h
WahlschalteraufStellung B”
WahlschalteraufStellung C”
DasSwitch-Mode-LadegetCB510/516wurdeausdcklichfürdieCaravan-undBoots-Branche
entwickeltundkann12V Blei-Batterien automatischaufladen,mitLadewertengemäßderStellungdes
integriertenWahlschalters.
DasLadegerätistgegenÜbertemperaturgeschütztunddie12V Ausnge gegenKurzschluss
undVerpolunggeschützt.
DieHochfrequenz-Switching-TechnikerglichthoheLeistungenmitreduziertenGewichtenund
Abmessungen.
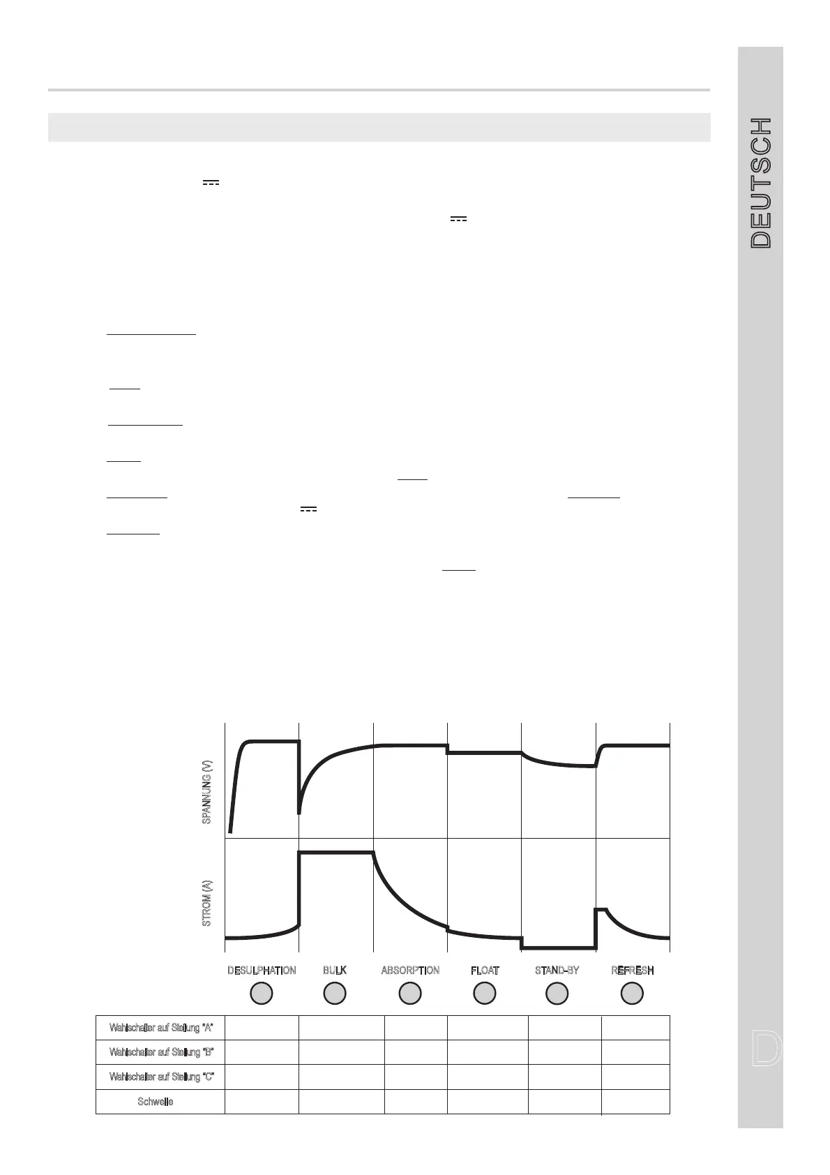
Phase1: -BeimEinschaltendesLadegeräts,nurwennesnötigist,wirddieBatteriemit
einerSpannungvon15,2Vaufgeladen,bisderStrom2A überschreitetoderfürmaximal2
Stunden.
Phase2 -AufladenderBatteriemitmaximalemStrom biszumErreichenderLadeschlussspannung.
Phase3 FertigstellungderBatterieaufladungmitkonstanterLadeschlussspannungüber
einen r kenn ebestimmtenZeitraum,miteinerprogressivenStromreduzierung.
Phase4: -ErhaltungsladungbeikonstanterSpannung fürmaximal15Stunden.Einhoher
StromverbrauchführtzumNeustartderPhase .
Phase5: DasLadegerätliefertkeinenStrommehr.EstrittindiePhase nurein,
wenndieSpannungunter13V sinkt.
Phase6: -DieBatteriewirdmitderBulk-Ladespannungfürmaximal1Stundeaufgeladen.Diese
PhasesolldieSelbstentladungderBatteriewährendeinerlängerenNichtnutzungkompensieren.
DanachstartetderLadevorgangwiederabderPhase .
IndenmeistenFällenkannderWahlschalterauf A beiBlei-Säure-Batterien,auf B beiBlei-Gel-Batterien
undauf C bei AGMBatterien .
Eswirdempfohlen,dasDatenblattderinstalliertenBatteriezukonsultieren.
sind
vonde Lade lini
eingestelltwerden
AutomatischesAufladesystemmit6Phasen
:
: -
-
Desulphation
Bulk
Absorption
Float
Bulk
Stand-by Refresh
Refresh
Float
Bemerkung:
DieStellungdesWahlschaltersmussgeßderfürdieinstallierteBatteriepassenden
Ladespannungeingestelltwerden.
DieLadeschlussspannungwirdnurerreicht,wenndieBatterierichtigfunktioniert.

Related product manuals