EasyManua.ls Logo

CBE CB510 - Informazioni Generali

CBE CB510
Print Icon
To Next Page IconTo Next Page
To Next Page IconTo Next Page
To Previous Page IconTo Previous Page
To Previous Page IconTo Previous Page
Loading...
DESULPHATION BULK ABSORPTION FLOAT STAND-BY REFRESH
CORRENTE(A)
TENSIONE(V)
Selettoreinposizione “A”
Soglialimite
1
2
3
4
5
6
15,2V
15,2V
15,2V
Max2h
Max14,1V
Max14,4V
Max14,7V
1,5h
8h
3h
13,5V
13,8V
13,8V
Max15h
0A
0A
0A
V<13,0V
14,1V
14,4V
14,7V
Max1h
Selettoreinposizione “B”
Selettoreinposizione “C”
I
I
2
ITALIANO
INFORMAZIONIGENERALI
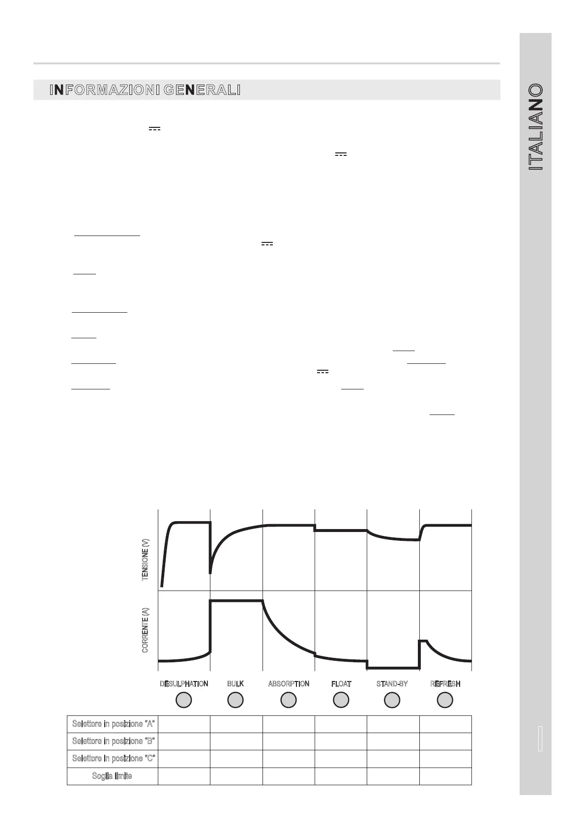
,condifferentivaloridicaricainfunzionedella
posizioneimpostatatramiteilselettoreposizionatoall’interno.
IlcaricabatterieswitchingCB510/516,specificoperilsettorecamperenautico,èingradodicaricare
batteriealpiomboa12V inmodoautomatico
Ilcaricabatterieèprotettodasovratemperaturaeleuscitea12V sonoprotettedacortocircuitoe
dainversionedipolarità.
Latecnologiaswitchingadaltafrequenzapermettediottenereelevatirendimenticonpesie
dimensioniridotte.
Fase1: -all’accensionedelcaricabatterie,soloselabatterialonecessita,questa
vienecaricataadunatensionedi15,2V finoaquandolacorrentesuperai2A o
comunqueperunmassimodi2ore.
Fase2 caricadellabatteriaconlamassimacorrentefinoalraggiungimentodellatensionedi
finecarica.
Fase3 Completamentodellacaricadellabatteriacontensionedifinecaricacostante
periltempodefinitodallalineadicaricaconprogressivariduzionedellacorrente.
Fase4: -Caricadimantenimentoatensionecostanteperuntempomassimodi15oreUn
elevatoassorbimentodallabatteriacomportalaripartenzadallafase .
Fase5: Ilcaricabatterienonforniscepiùenergiaepassaallafasedi solo
quandolatensionedellabatteriascendesottoi13V
Fase6: -Labatteriavienecaricataallatensionedicarica peruntempomassimodi
1h;questafaseèpensatapercompensarel’autoscaricadellabatteriaduranteeventuali
prolungatiperiodidiinattività.Successivamentelacaricaripartedallafasedi .
Nellamaggiorpartedeicasiilselettorepuòessereimpostatoinposizione “A” perbatteriealpiombo-
liquido,inposizione “B” perbatteriealpiombo-geleinposizione “C” perbatterie AGM.
Siconsigliacomunquediconsultarelaschedatecnicadellabatteriacollegata.
Sistemadiricaricaautomaticoa6fasi
: -
: -
.
-
.
Desulphation
Bulk
Absorption
Float
Bulk
Stand-by Refresh
Refresh Bulk
Float
NB:
Laposizionedelselettoredeveessereimpostatainfunzionedelletensionidicaricapiùadatte
altipodibatteriainstallata.
Ilfinecaricaèraggiuntosoloselabatteriaèefficiente.
CB510/516

Related product manuals