EasyManua.ls Logo

CBE CB510 - Informations Generales

CBE CB510
Print Icon
To Next Page IconTo Next Page
To Next Page IconTo Next Page
To Previous Page IconTo Previous Page
To Previous Page IconTo Previous Page
Loading...
F
FRANÇAIS
F
14
INFORMATIONSGENERALES
CB510/516
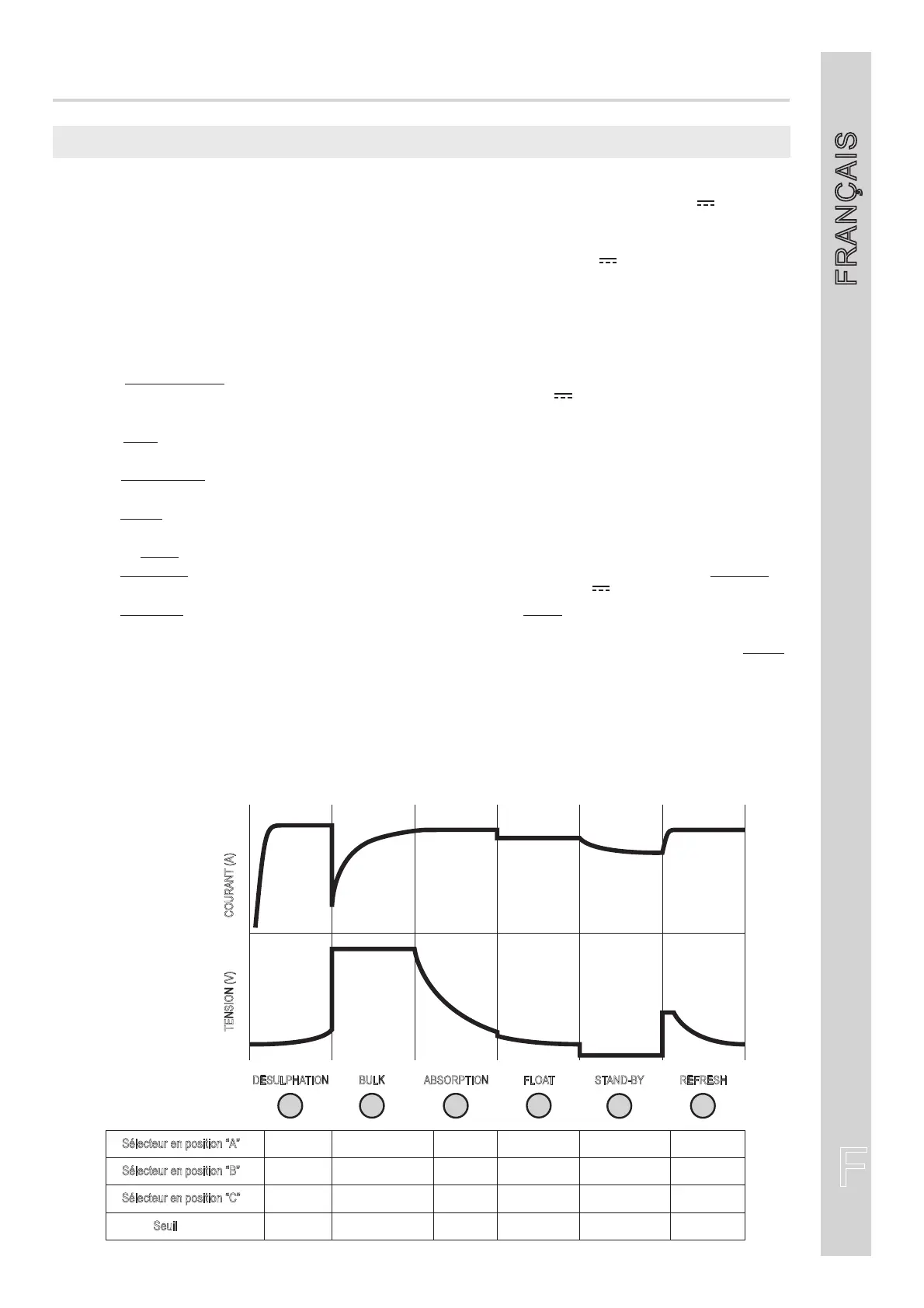
DESULPHATION BULK ABSORPTION FLOAT STAND-BY REFRESH
TENSION(V)
COURANT (A)
Sélecteurenposition “A”
Seuil
1
2
3
4
5
6
15,2V
15,2V
15,2V
Max2h
Max14,1V
Max14,4V
Max14,7V
1,5h
8h
3h
13,5V
13,8V
13,8V
Max15h
0A
0A
0A
V<13,0V
14,1V
14,4V
14,7V
Max1h
Sélecteurenposition “B”
Sélecteurenposition “C”
LechargeurdebatterieàdécoupageCB510/516,scifiquementconçupourlescamping-carsetle
secteurnautique,estenmesuredechargerautomatiquementdesbatteriesauplombà12V ,avec
difrentesvaleursdechargeenfonctiondelapositiondéfinieparlebiaisdusélecteurpositionnéà
lintérieur.
Lechargeurdebatterieestprotégécontrelessurchauffesetlessortiesà12V sontproescontre
lescourts-circuitsetlinversiondepolari.
Latechnologie découpageàhautefréquencepermetdobtenirdes élesavecdespoids
etdesdimensionsréduites.
Phase1: -Lorsdelallumageduchargeurdebatterie,uniquementsilabatteriele
nécessite,cettedernièreestchargéeàunetensionde15,2V jusquàcequelecourant
dépasseles2 A oubienpendantaumaximum2heures.
Phase2 Rechargedelabatterieaveclecourantmaximaljusqu'àcequ'elleatteignelatension
defindecharge.
Phase3 Finduchargementdelabatterieavecunetensiondefindechargeconstante
pourladuréedéfinieparleslignesdechargeavecuneréductionprogressiveducourant.
Phase4: -Chargementdemaintienàunetensionconstantepouruneduréemaximalede15
heures.Uneconsommationélevéedelabatterieentraîneleremarrageàpartirdelaphase
de
Phase5: Lechargeurdebatterienefournitplusdénergieetpasseàla phasede
uniquementlorsquelatensiondelabatteriedescendsousles13V
Phase6: -Labatterieestchareàlatensiondecharge pouruneduréemaximaled1h;
cettephaseaétéconçueafindecompenserlauto-chargedelabatterieaucours
déventuellespériodesprolonesdinactivi. Ensuite,lechargementrepartenphasede
à performances
Danslaplusgrandepartiedescas,lesélecteurpeutêtremisenposition« A »pourlesbatteriesauplomb-
acide,enposition«B»pourlesbatteriesaugeletenposition«C»pourlesbatteries AGM.
Ilestnéanmoinsconseillédeconsulterlafichetechniquedelabatterieinstale.
Sysmederechargeautomatiqueà6phases
: -
: -
-
.
Desulphation
Bulk
Absorption
Float
Bulk.
Stand-by Refresh
Refresh Bulk
Float.
NB: Lafindechargeestuniquementobtenuesilabatterieestperformante.
Lapositiondusélecteurdoitêtredéfinieenfonctiondestensionsdechargelesplusadapesau
typedebatterieinstallée.

Related product manuals