EasyManua.ls Logo

Comunello RAM 220 - Page 16

Comunello RAM 220
Print Icon
To Next Page IconTo Next Page
To Next Page IconTo Next Page
To Previous Page IconTo Previous Page
To Previous Page IconTo Previous Page
Loading...
16
COMUNELLO ®Copyright 2013 - All right reserved
4 INSTALLATION
4.1 VORBEREITENDE ÜBERPRÜFUNGEN
Vor der Installation ist zu prüfen, dass die Bestandteile des Produktes
einwandfrei sind, das gewählte Modell angemessen und der
Installationsbereich geeignet sind:
• Prüfen, dass das zu verwendende Material insgesamt einen
ausgezeichnetenZustandaufweistundfürdenbestimmungsgemäßen
Gebrauch geeignet ist.
• Prüfen,dassdiemechanischeStrukturdesToresfürdieAutomatisierung
geeignet ist. Dieses Produkt kann kein Tor automatisieren, das nicht
allein schon efzient und sicher ist; außerdem kann es keine Fehler
beheben, die von einer falschen Installation des Tores oder seiner
schlechtenWartungverursachtsind.
• Prüfen, dass die Betriebsbedingungen der Vorrichtungen mit den
bescheinigtenEinsatzgrenzenverträglichsind.
• Den Torügel von Hand in beide Richtungen bewegen, um sich der
konstantenSchubkraftzuvergewissern.
• DieTorügelvonHandinegalwelchePositionbringen,stehenlassen
undfeststellen,dasssiesichnichtbewegen.
• Prüfen,dassderBefestigungsbereichdesGetriebemotorsmitseinen
äußeren Abmessungen verträglich ist und sicherstellen, dass ein
ausreichenderPlatzfürseinekompletteArmdrehungvorhandenist.
• InderNähedesGetriebemotorssicherstellen,dassfürdiemanuellen
Entriegelungsmanöver des Getriebemotors ein ausreichender Platz
vorhanden ist.
• Sicherstellen, dass die für die Installation der verschiedenen
Vorrichtungen gewählten Oberächen tragfähig sind und eine stabile
Befestigunggarantieren.
• Sicherstellen, dass sich jede zu installierende Vorrichtung an einer
geschütztenundvorunerwünschtenStößensicherenPositionbendet.
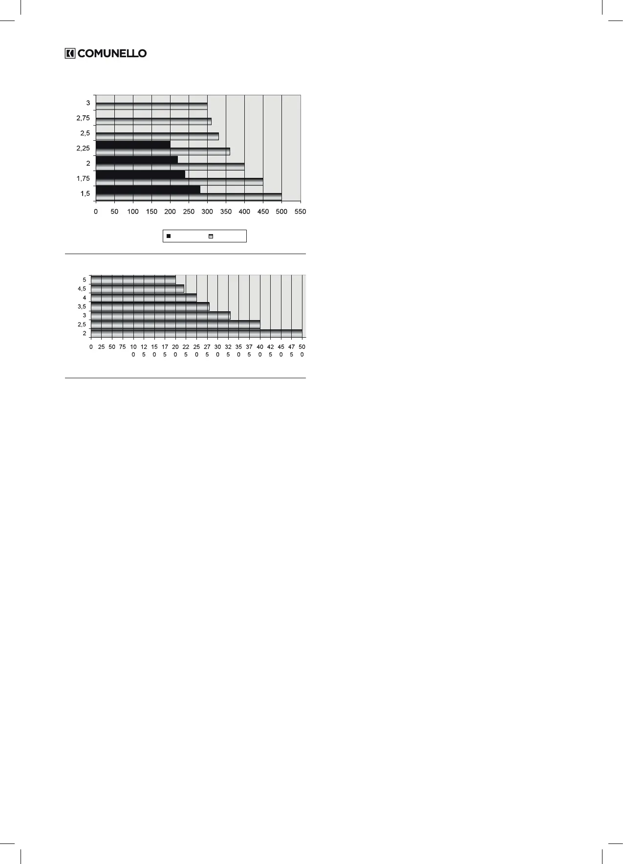
4.2 EINSATZGRENZEN
Vor der Installation prüfen, dass der Motor für das Gewicht und die
LängederFlügelbemessenistundinnerhalbderGrenzwertelautKapitel
„TechnischeEigenschaftendesProdukts“liegt.
4.3 VORBEREITUNGEN VOR DER INSTALLATION
UnterBezugnahmeaufdieABB.1AundABB.1BdieungefährePosition
bestimmen,anderjederBestandteilderAnlageinstalliertwird,sowieden
idealenSchaltplan.EsfolgteineAufstellungdernotwendigenBestandteile:
• ElektromechanischeGetriebemotoren.
• PaarFotozellen.
• Paar Feststellanschläge für dieÖffnung und Feststellanschlag für die
Schließung.
• StandsäulenfürFotozellen.
• Blinkanzeiger.
• SchlüsseltasteroderdigitaleTastatur.
• VertikalesElektroschloss(empfohlenfürToreüber3m).
• Steuerung.
4.4 INSTALLATION DES GETRIEBEMOTORS RAM
4.4.1 INSTALLATION
• DiemanuelleEntriegelungwieimKap.4.4.3beschriebenvornehmen.
• DiePositiondesAntriebssystemsaneinemfestenQuerträgerbestimmen.
• DiehinterePlatteamPfeilereinstweiligbefestigen,dermindestens100
mmbreitseinmuss(ABB.2).
• BeikomplettgeschlossenemTordievorderePlatteamFlügel
befestigen(ABB.3).
• MitderbeigestelltenSchraubeundMutterdenMotormitdemhinteren
Bügelverbinden(ABB.4).
• DerAntriebkannnichtmitnachobenzeigendemDeckelinstalliertwerden.
• MitderbeigestelltenSchraubeundMutterdenKolbenandervorderen
Plattebefestigen(ABB.4).
4.4.2INSTALLATIONDERENDANSCHLÄGE
Der Antrieb RAM ist nicht mit elektronischen Endschaltern ausgestattet;
deshalb ist es unbedingt erforderlich, an dem zu automatisierenden Tor
mechanischeSchließ-undÖffnungsanschlägeeinzusetzen.
4.4.3 MANUELLES ENTRIEGELN DES MOTORS
Die manuelle Entriegelung ist durchzuführen, wenn das Tor manuell
geöffnet werden muss. Die Aktivierung des Entriegelungssystems
könnte unkontrollierte Torbewegungen bewirken, wenn Unwuchten oder
mechanischeDefektevorliegen.
ZurEntriegelungdesMotorsfolgendeSchritteausführen:
• DieKunststoffklappeöffnenunddenEntriegelungsgriffeinstecken(ABB.5).
• DenGriffimUhrzeigersinndrehen(ABB.6).
• IndieserWeisewirdderFreilaufdesZahnradesgeschaltetunddiemanuelle
Toröffnungermöglicht(ABB.7).
• Zur Rückstellung der Motorsteuerung, denGriff indie Ausgangsposition
rücken(ABB.8).
• DenGriffentfernenundaneinemsicherenOrtablegen.(ABB.9).
5 VORBEREITUNG AUF DIE ELEKTRISCHEN
ANSCHLÜSSE
• DiemanuelleEntriegelungwieimABS.4.4.3dargestelltausführen.
• DenKunststoffteilwieinderABB.10dargestelltentfernen.
• DieKabelklemme“G”amunterenMotorbereichlockern.ABB.10.
• DasSpeisekabeleinführenABB.11.
• DieKabelanderKlemmenleisteanschließen,gemäßAngabeaufdem
Etikettnebenan.
• DieErdungamRingkabelschuhnebenderKlemmenleisteanschließen
ABB. 11.
• DasKabeldurchFestziehenderKabelklemmeblockieren.
6 PRÜFUNG
JedeseinzelneElementdesAntriebssystems,z.B.dieSicherheitsleisten,
Fotozellen, Notabschalter, usw., verlangt eine spezische Prüfphase; an
allendiesenVorrichtungensinddieindenjeweiligenAnleitungshandbüchern
enthaltenenProzedurendurchzuführen.BeiderPrüfungvonRAMsinddie
folgendenArbeitsschritteerforderlich:
• Prüfen, dass alle in diesem Handbuch und besonders im Kapitel „1
Hinweise“enthaltenenVorgabenstrikteingehaltenwurden.
• Unter Verwendung der Bedienungs- oder Ausschaltvorrichtungen
(Schlüsseltaster, Bedienungstaster oder Funksender), AUF-STOP-ZU
VersuchemitdemTordurchführenunddasvorschriftsmäßigeVerhalten
prüfen.
• AlleSicherheitsvorrichtungenderAnlage(Fotozellen,Sicherheitsleisten,
Notabschalter, usw.) einzeln nach ihrer korrekten Betriebsfähigkeit
überprüfen.
• FallsdievonderFlügelbewegungverursachtenGefahrsituationendurch
dieSelbsthemmungderPrallkraftgewahrtwurden,isteineKraftmessung
nachEN12445durchzuführen.
RAM 300RAM 220
FLÜGELGEWICHT (Kg)
FLÜGELLÄNGE (m)
MAXIMALE ANWENDUNGEN - RAM 220 - RAM 300
FLÜGELGEWICHT (Kg)
FLÜGELLÄNGE (m)
MAXIMALE ANWENDUNGEN - RAM 500

Related product manuals