EasyManua.ls Logo

Contrec 202D - Filtering

Contrec 202D
49 pages
Print Icon
To Next Page IconTo Next Page
To Next Page IconTo Next Page
To Previous Page IconTo Previous Page
To Previous Page IconTo Previous Page
Loading...
202D-M-V3.1
Operation
10
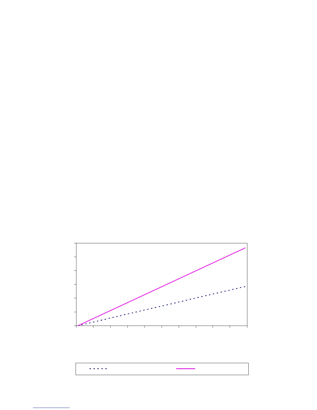
3.3 FILTERING
Frequency fluctuations caused by pulsating flow through a flowmeter can
interfere with the precision of the rate. For this reason, the Model 202D has a
digital filter which will average out these fluctuations and enable accurate
readings.
The degree of filtering of the input signal can be adjusted depending on the
amount of fluctuation and the particular application. Values from 1 to 99 can
be programmed where 1 corresponds to no filtering and 99 corresponds to
heavy filtering. Such flexibility in filtering means that highly accurate and
stable readings can be obtained.
When programming the degree of filtering, it is advisable to start with no
filtering (the factor equals 1) and gradually increase until a steady reading is
obtained. It is important that the filtering is not too heavy because this will
cause an over-damped response.
The following graph shows the time to reach 90% and 99% of a new reading
for a step change in input signal.
Filter Factor vs Time to Reach New Reading
(for a step change in input signal)
0
20
40
60
80
100
120
0 10 20 30 40 50 60 70 80 90 100
Filter Factor
Time to Reach % of
New Reading (seconds)
90% of New Reading 99% of New Reading

Related product manuals