EasyManua.ls Logo

Daikin FWKE-E - Page 55

Daikin FWKE-E
131 pages
Print Icon
To Next Page IconTo Next Page
To Next Page IconTo Next Page
To Previous Page IconTo Previous Page
To Previous Page IconTo Previous Page
Loading...
51
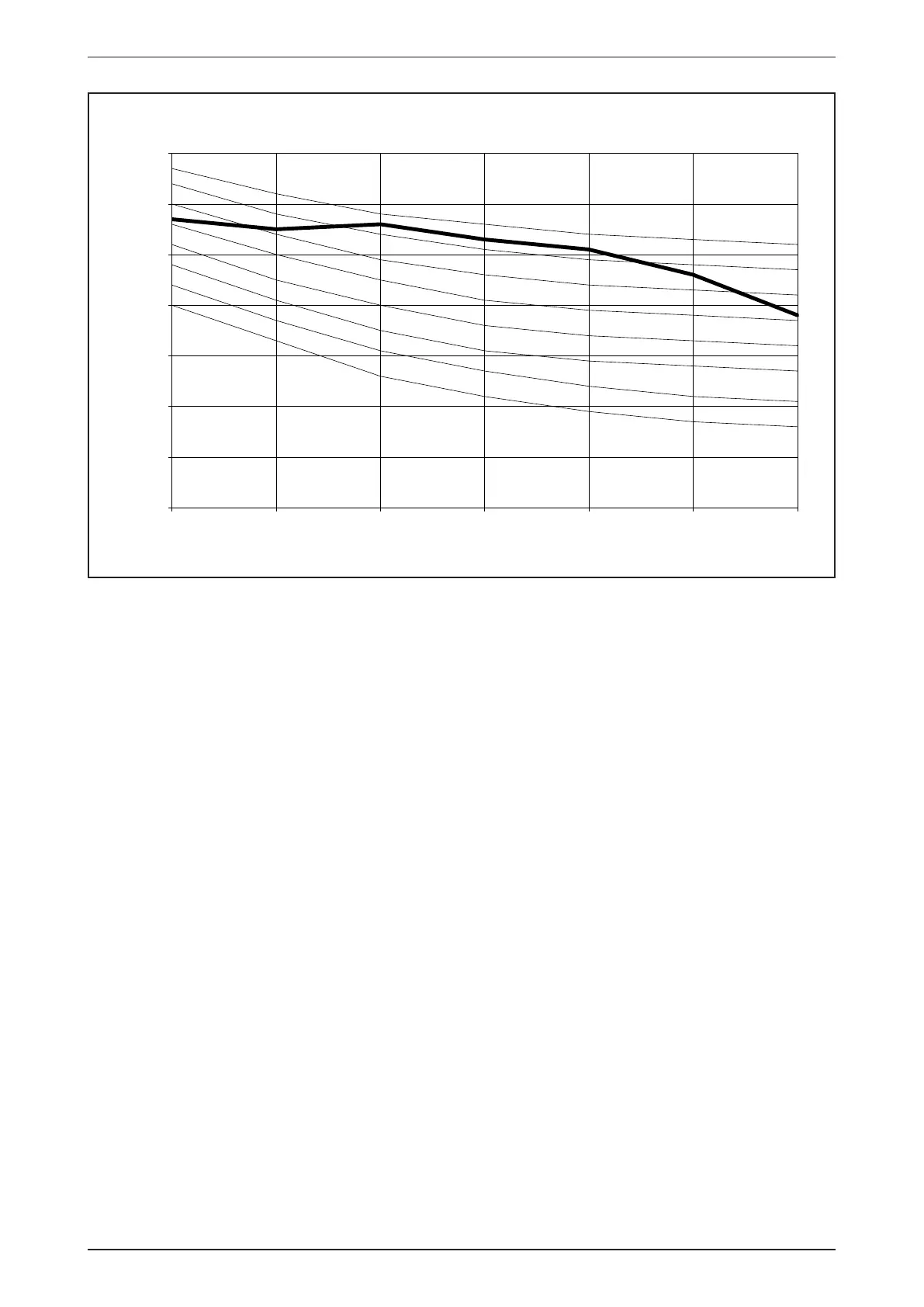
Sound Data
0
10
20
30
40
50
60
70
Sound pressure level (dB, ref 20μPa)
Octave-band frequency (Hz)
FUD30B
H
NC-55
NC-50
NC-45
NC-40
NC-35
NC-30
NC-25
NC-20

Related product manuals