EasyManua.ls Logo

Daikin REYQ72 - Low Pressure Protection Control

Daikin REYQ72
273 pages
Print Icon
To Next Page IconTo Next Page
To Next Page IconTo Next Page
To Previous Page IconTo Previous Page
To Previous Page IconTo Previous Page
Loading...
Protection Control SiUS39-602
60 Function
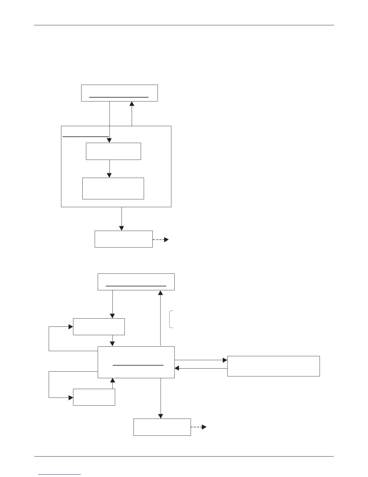
4.2 Low Pressure Protection Control
This low pressure protection control is used to protect compressors against the transient
decrease of low pressure.
[In cooling operation]
[In heating operation]
Low pressure not limited
Pe<50 psi
Low pressure standby
Low pressure limited
All STD compressors
stop.
Master unit:52 Hz + OFF
Slave unit:Stop
Pe<36 psi
Pe>58 psi
Pe<10 psi
Pe: LP pressure sensor detection
value for master unit
When occurring 3 times within 30 min.,
the malfunction code E4 is output.
Pe<23 psi
Pe<19 psi
Pe >36 psi
INV upper limit frequency = 210 Hz
Pe<10 psi
&
Low pressure not limited
Low pressure standby
Low pressure limited
124 Hz + OFF
INV upper limit frequency: 1-step /
20 sec up from current compressor
frequency
52 Hz + OFF
Pe: LP pressure sensor detection
value for each outdoor unit
Pe>28 psi
Pe<23 psi
When occurring 3 times within 30 min.,
the malfunction code “E4” is output.

Table of Contents

Related product manuals