EasyManua.ls Logo

Daikin VRV 5 - Page 66

Daikin VRV 5
176 pages
Print Icon
To Next Page IconTo Next Page
To Next Page IconTo Next Page
To Previous Page IconTo Previous Page
To Previous Page IconTo Previous Page
Loading...
16 | Special requirements for R32 units
Installer and user reference guide
66
RXYSA8~12AMY1B
VRV 5-S system air conditioner
4P752782-1A – 2024.02
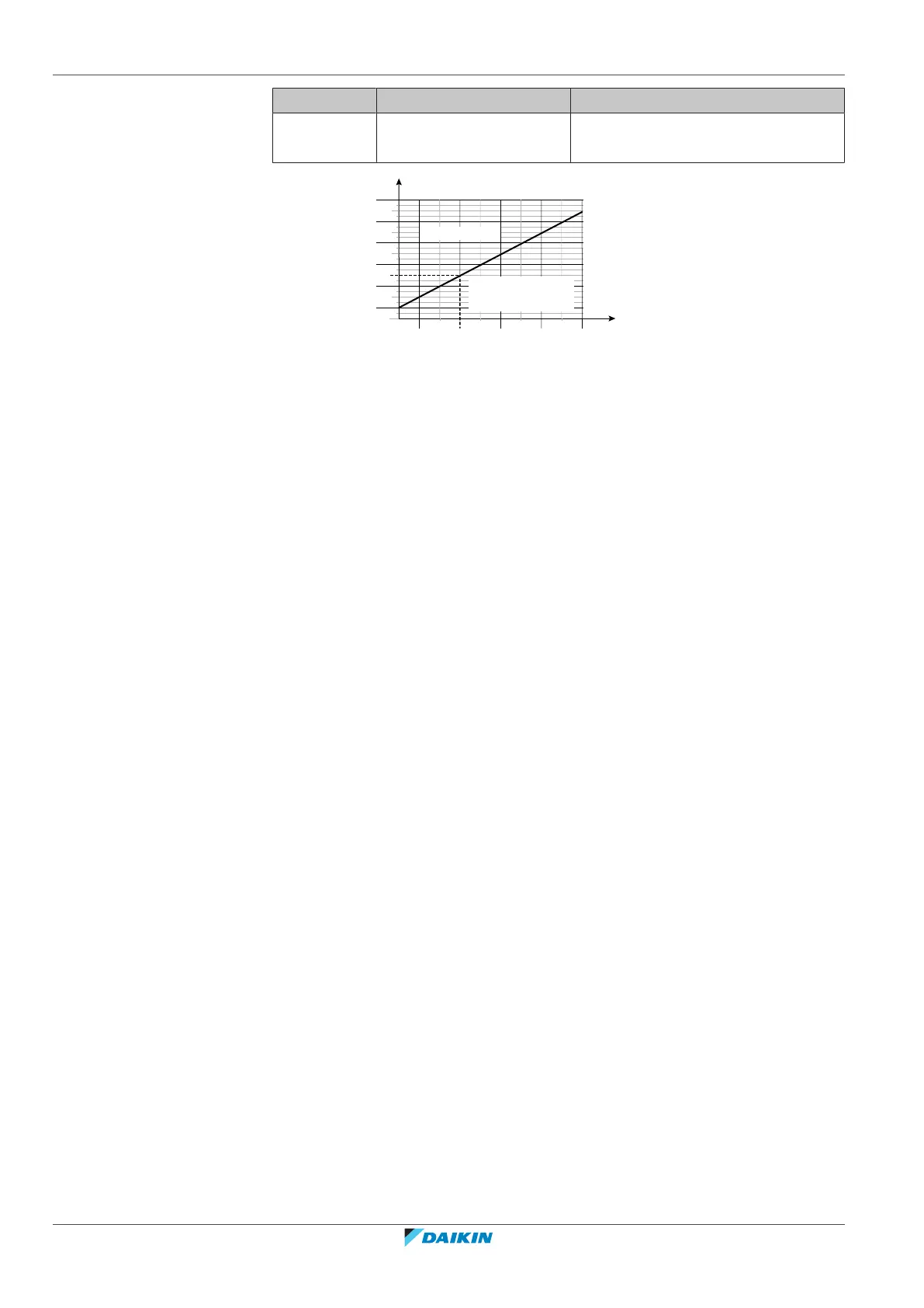
SV unit Room area Required safety measure
2 A=15m²<40m² Alarm + natural ventilation OR
Alarm + shut-off valve (SV unit)
0
10
20
30
40
50
70
90
110
80
60
100
5
10 20 30 40 50
2515 35 45
m [kg]
A
min
[m
2
]
No safety measure
(c)
Alarm + shut-off valve [SV unit]
OR
Alarm + natural ventilation
(f)
m Total refrigerant charge in the system [kg]
A
min
Minimum room area [m²]
(a) Lowest underground floor (=Lowest underground floor)
(b) All other floors (=All other floors)
(c) No safety measure (=No safety measure)
(d) Alarm OR Natural ventilation (=Alarm OR Natural ventilation)
(e) NOT allowed (=NOT allowed)
(f) Alarm + shut-off valve [SV unit] OR Alarm + natural ventilation (=Alarm + shut-off
valve [SV unit] OR Alarm + natural ventilation)

Table of Contents

Other manuals for Daikin VRV 5

Related product manuals