EasyManua.ls Logo

Daikin VRVII - Page 338

Daikin VRVII
385 pages
Print Icon
To Next Page IconTo Next Page
To Next Page IconTo Next Page
To Previous Page IconTo Previous Page
To Previous Page IconTo Previous Page
Loading...
Troubleshooting by Indication on the Remote Controller
333
Troubleshooting
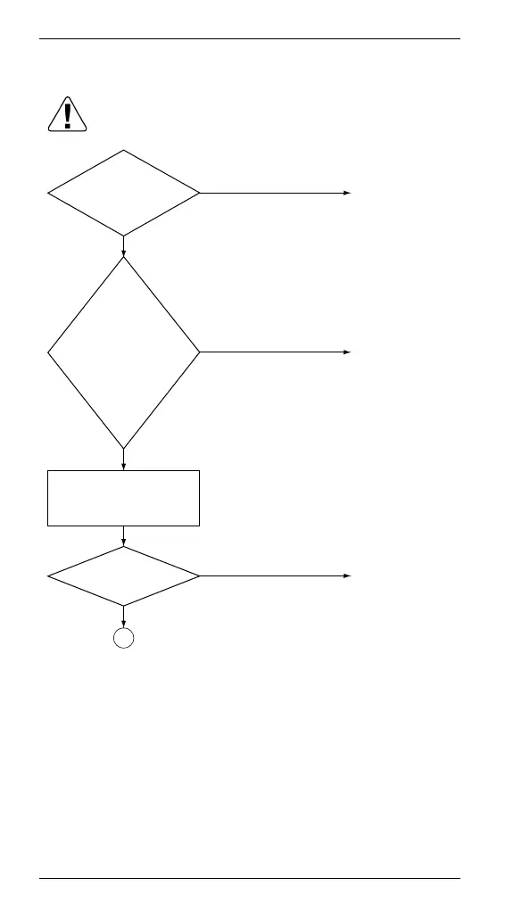
Is the
outdoor (outside)
PCB replaced to spare
PCB ?
YES
NO
The refrigerant
classification has
not been set yet.
The total of
indoor units
displaying "UA" and
indoor units connected
to the same refrigerant
system is within
connectable
number of
unit
YES
NO
There are too
many indoor
units within the
same refrigerant
system.
Does an
error occur?
YES
NO
Normal
Press and hold the
RESET button on the
outside unit PCB for 5
seconds.
Caution
Be sure to turn off the power switch before
connecting or disconnecting connectors, or parts
may be damaged.
A

Table of Contents

Related product manuals