EasyManua.ls Logo

Daikin VRVII - Page 349

Daikin VRVII
385 pages
Print Icon
To Next Page IconTo Next Page
To Next Page IconTo Next Page
To Previous Page IconTo Previous Page
To Previous Page IconTo Previous Page
Loading...
Troubleshooting by Indication on the Remote Controller
344
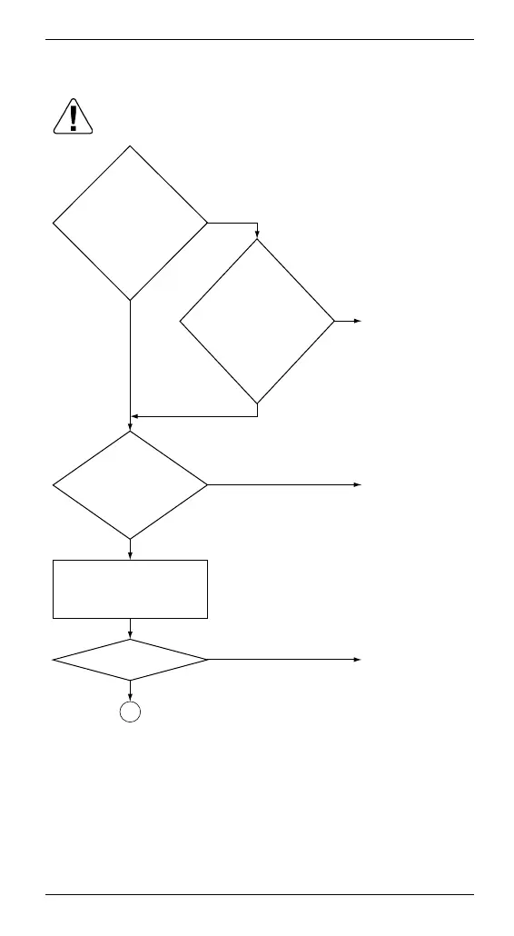
Troubleshooting
Is
indoor -
outdoor and
outdoor - outdoor unit
transmission wiring
normal? (1)
Is
electricity
being introduce
for the first time after
installation or after an
indoor or outdoor unit
PCB has been
replaced?
NO
YES
YES
NO
Does an error
occur?
YES
YES
NO
Normal
After fixing
incorrect wiring,
press and hold
the RESET
button on the
outdoor unit main
PCB for 5
seconds.
The unit will not
run for up to 12
minutes.
NO
Normal
Press and hold the
RESET button on the
outdoor unit PCB for 5
seconds
Caution
Be sure to turn off the power switch before
connecting or disconnecting connectors, or parts
may be damaged.
Does
an error
occur even after
12 minutes elapses
from the time when
electricity is
introduced to
indoor and
outdoor
units?
A

Table of Contents

Related product manuals