EasyManua.ls Logo

Daitsu DS-12KIDR - Over Current Protection

Daitsu DS-12KIDR
89 pages
Print Icon
To Next Page IconTo Next Page
To Next Page IconTo Next Page
To Previous Page IconTo Previous Page
To Previous Page IconTo Previous Page
Loading...
Air Conditioner Service Manual
49
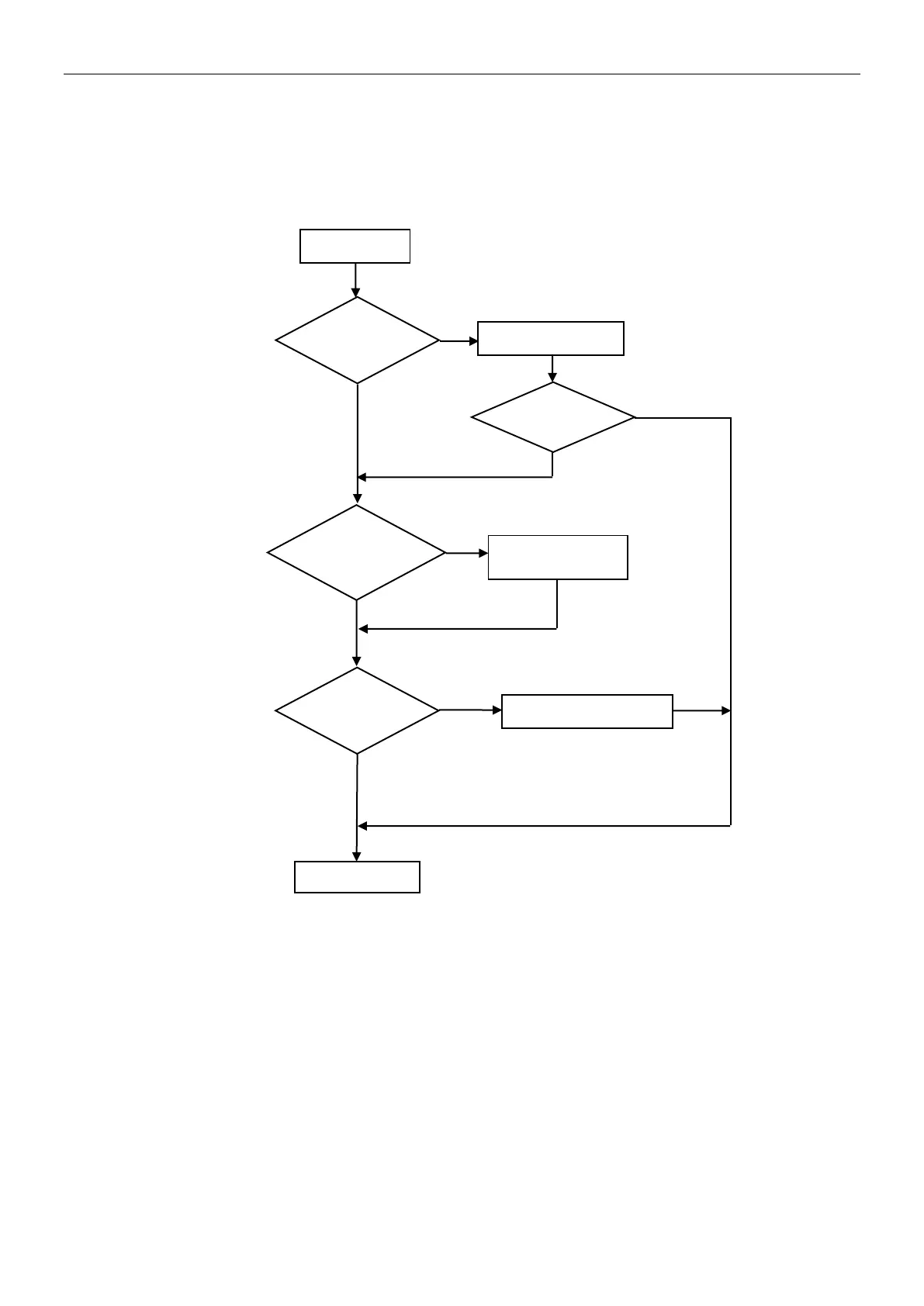
3.2.10 P2---Over Current protection
When the AC unit running current more than I
max
, it will stop and display P2 protection.
Note: for different AC model, I
max
has difference valve.
Display P2
ODU fan motor
works?
Replace fan motor
IDU filter or ODU
condenser too
dirty?
Clean IDU filter or
condenser
Re-start the unit,
P2 disappear?
No
Replace ODU PCB
Yes
Yes
End
P2 disappear?
No
Yes
No
Yes
No

Table of Contents

Related product manuals