EasyManua.ls Logo

Danby DDR4007EE - Specifications

Danby DDR4007EE
25 pages
Print Icon
To Next Page IconTo Next Page
To Next Page IconTo Next Page
To Previous Page IconTo Previous Page
To Previous Page IconTo Previous Page
Loading...
ADR3006==.qxp
2006.02.17
13:-n
Page
11
Electrical
Specifications
1.
All
wiring
must
comply
with
local
and
national
electrical
codes
and
be
installed
by
a
qualified
electrician,
if
you
have
any
questions
regarding
the
following
instructions,
contact
a
qualified
electrician.
2.
Check
available
power
supply
and
resolve
any
wiring
problems
BEFORE
installation
and
operation
of
this
unit,
3.
For
your
safety
and
protection,
this
unit
is
grounded
through
the
power
cord
plug
when
plugged
Into
a
matching
wall
outlet.
If
you
are
not
sure
whether
the
wall
outlets
in
your
home
are
properly
grounded,
please
consult
a
qualified
electrician.
DO
NOT
USE
PLUG
ADAPTERS
OR
EXTENSION
CORDS.
4.
The
manufacturers
nameplate
is
located
on
the
rear
wall
of
the
v^ater
tank
compartment.
The
nameplate
contains
efectrica!
and
other
technical
data
specific
to
this
unit.
5.
To
avoid
the
possibility
of
personal
injury,
always
disconnect
the
power
supply
before
attempting
to
clean
and/or
service
the
unit.
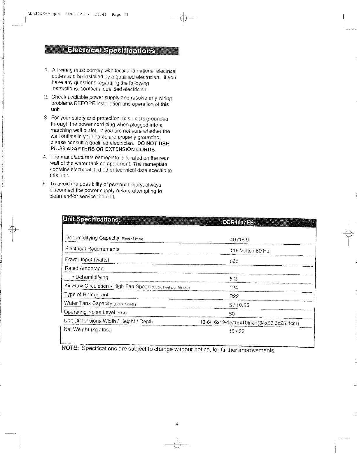
Dehumidifying
Capacity
(Pints/lisers)
40/18,9
Electrical
Requirements
115
Volts/60
Hz
Power
Input
(watts)
560
Rated
Amperage
Dehumidifying
5.2
Air
Row
Circulation
-
High
Fan
Speed
(Cubic
Feet
pet
Minute-.
124
Type
of
Refrigerant
R22
Water
Tank
Capacity
(ueis
/
r^nis)
5/10.55
Operating
Noise
Level
(ctBAi
50
Unit
Dimensions
Width
/
Height
/
Depth
13-6/16x19-15/16x10inch(34x50.6x25,4cm)
Net
Weight
(kg
/
lbs.)
15/33
NOTE:
Specifications
are
subject
to
change
without
notice,
for
further
improvements.
4

Related product manuals