EasyManua.ls Logo

dbx 128 - SPECIFICATIONS; dbx II Tape Noise Reduction Specs

dbx 128
42 pages
Print Icon
To Next Page IconTo Next Page
To Next Page IconTo Next Page
To Previous Page IconTo Previous Page
To Previous Page IconTo Previous Page
Loading...
36
SPECIFICATIONS
dbx
JI
Tape
Noise
Reduction
Section
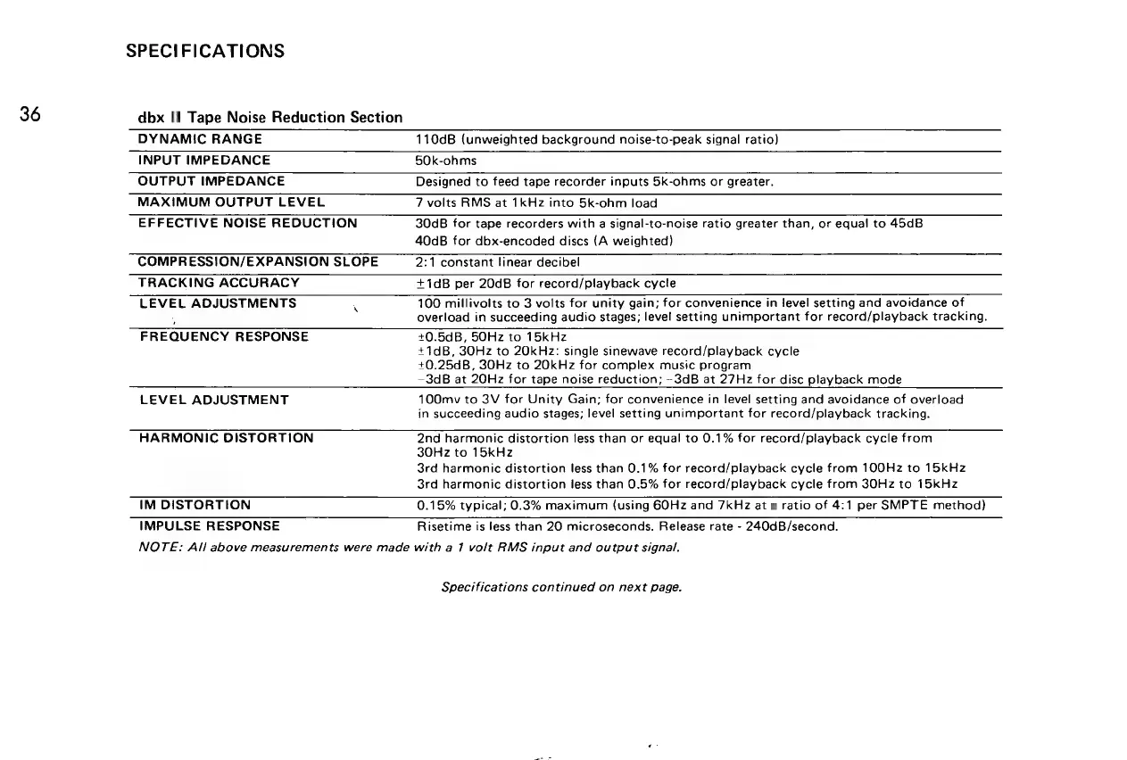
DYNAMIC
RANGE
110dB
(unweighted
background
noise-to-peak
signal
ratio)
INPUT
IMPEDANCE
50k-ohms
OUTPUT
IMPEDANCE
MAXIMUM
OUTPUT
LEVEL
EFFECTIVE
NOISE
REDUCTION
COMPRESSION/EXPANSION
SLOPE
Designed
to
feed
tape
recorder
inputs
5k-ohms
or
greater.
7
volts
RMS
at
1kHz
into
5k-ohm
load
30dB
for
tape
recorders
with
a
signal-to-noise
ratio
greater
than,
or
equa!
to
45dB
40dB
for
dbx-encoded
discs
(A
weighted)
2:1
constant
linear
decibel
TRACKING
ACCURACY
+1dB
per
20dB
for
record/playback
cycle
LEVEL
ADJUSTMENTS
100
millivolts
to
3
volts
for
unity
gain;
for
convenience
in
level
setting
and
avoidance
of
overload
in
succeeding
audio
stages;
level
setting
unimportant
for
record/playback
tracking.
FREQUENCY
RESPONSE
LEVEL
ADJUSTMENT
HARMONIC
DISTORTION
+0.5dB,
50Hz
to
15kHz
+1dB,
30Hz
to
20kHz:
single
sinewave
record/playback
cycle
+0.25dB,
30Hz
to
20kHz
for
complex
music
program
—3dB
at
20Hz
for
tape
noise
reduction;
~3dB
at
27Hz
for
disc
playback
mode
100mv
to
3V
for
Unity
Gain;
for
convenience
in
level
setting
and
avoidance
of
overload
in
succeeding
audio
stages;
level
setting
unimportant
for
record/playback
tracking.
2nd
harmonic
distortion
less
than
or
equal
to
0.1%
for
record/playback
cycle
from
30Hz
to
15kHz
3rd
harmonic
distortion
less
than
0.1%
for
record/playback
cycle
from
100Hz
to
15kHz
3rd
harmonic
distortion
less
than
0.5%
for
record/playback
cycle
from
30Hz
to
15kHz
IM
DISTORTION
0.15%
typical;
0.3%
maximum
(using
GOHz
and
7kHz
at
a
ratio
of
4:1
per
SMPTE
method)
IMPULSE
RESPONSE
Risetime
is
less
than
20
microseconds.
Release
rate
-
240dB/second.
NOTE:
All
above
measurements
were
made
with
a
1
volt
RMS
input
and
output
signal.
Specifications
continued
on
next
page.

Related product manuals