EasyManua.ls Logo

Delta VFD300C43A-21 - Page 618

Delta VFD300C43A-21
1259 pages
Print Icon
To Next Page IconTo Next Page
To Next Page IconTo Next Page
To Previous Page IconTo Previous Page
To Previous Page IconTo Previous Page
Loading...
Chapter 12 Descriptions of Parameter SettingsC2000 Plus
12.1-06-31
When the temperature exceeds the setting level, an oH3 error occurs to the drive. Reset conditions:
when the temperature is below the trigger level -5ºC, the oH3 error is cleared.
When the KTY is not connected, or the KTY is burned, the calculated temperature is beyond -40–
150ºC, the temperature is displayed as its lower limit (-40ºC) or upper limit (150ºC) without
additional error information. At this time, the drive still trips up the oH3 error, check if the installation
is correct.
When the temperature detection warning occurs to the KTY-84, select the action according to
Pr.06-29.
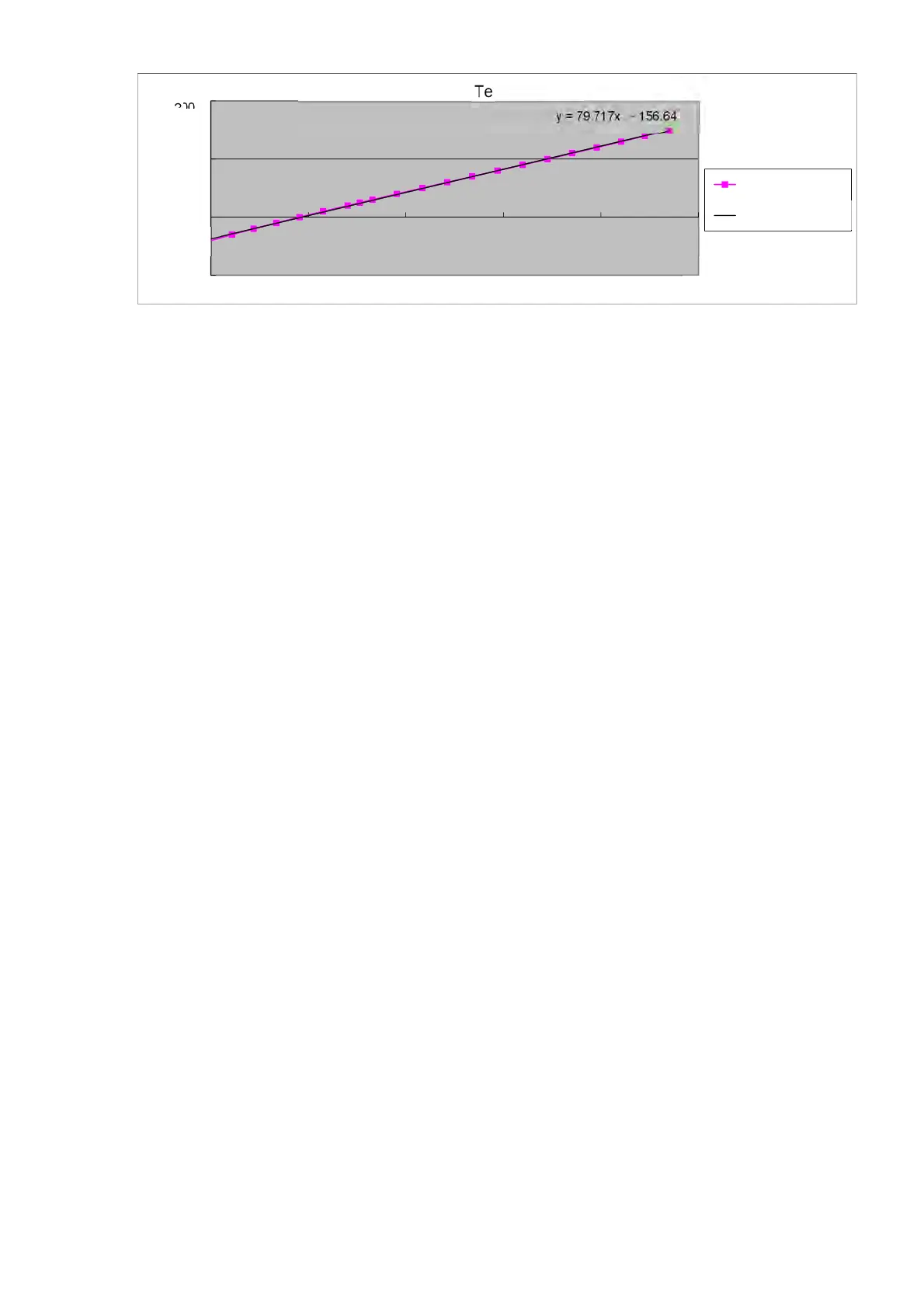
y = 79.717x
-
156.64
-100
0
100
200
1.50 2.00 2.50 3.00 3.50 4.00
T
(°C)
A
nalog voltage (V)
C2000 Plus / KTY84-130 Temperature and voltage diagram
C2000 Plus
Linear (C2000 Plus)

Table of Contents

Related product manuals