EasyManua.ls Logo

Deprag AST11-2 - Screwdriving Strategies and Commands; Screwdriving Strategies

Default Icon
122 pages
Print Icon
To Next Page IconTo Next Page
To Next Page IconTo Next Page
To Previous Page IconTo Previous Page
To Previous Page IconTo Previous Page
Loading...
79
11 Screwdriving Strategies and Commands
11.1 Screwdriving Strategies
11.1.1 Fasten / Loosen to Torque
The screwdriving strategy fasten / loosen to torque is a tightening / loosening process with
stop control via parameter torque. Angle monitoring is possible as an option.
Strategy Description:
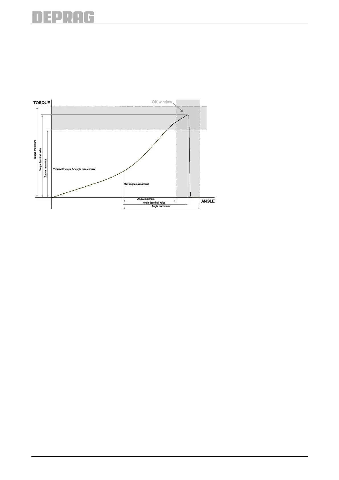
Figure 43: Screwdriving Application to torque
Strategy description:
At the start of the screwdriving sequence cycle time monitoring is started. Cyclic torque
measurements are performed. If the angle measurement option is active then angle
measurements are performed additionally starting at the pre-selected torque threshold.
Shut-off criteria:
The screwdriving process is ended once the:
Target torque is achieved
the maximum screwdriving time (monitoring time) is exceeded
the maximum angle of rotation is reached (only for angle monitoring)
Analysis:
OK evaluation:
The screwdriving sequence is considered OK (fault free), if the shut off is achieved via
torque and the torque value is within the preset limits.
With optional Angle monitoring active the angle value must also be within the preset lim-
its.
Not OK analysis:
The screwdriving sequence is evaluated as Not OK (faulty) if the final torque value is
outside the preset limits or the maximum screwdriving time has been exceeded.
If angle monitoring is active the screwdriving sequence is evaluated as Not OK, if the an-
gle value is outside the preset upper and lower limits.

Table of Contents

Related product manuals