EasyManua.ls Logo

Deprag AST11-2 - Figure 46: Loosening on Angle

Default Icon
122 pages
Print Icon
To Next Page IconTo Next Page
To Next Page IconTo Next Page
To Previous Page IconTo Previous Page
To Previous Page IconTo Previous Page
Loading...
82
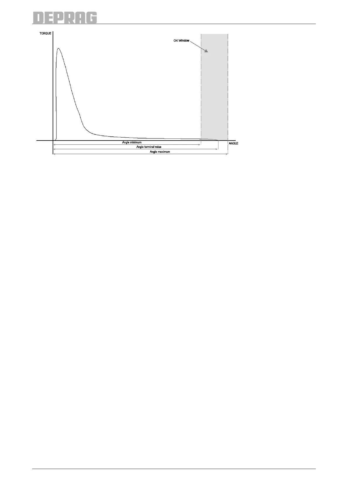
Figure 46: Loosening on Angle
Strategy Description:
At the start of the screwdriving sequence time monitoring and angle measurement is
started. Cyclic torque measurements are performed.
Shut-off criteria:
The screwdriving process is ended once the
shut-off angle is achieved
the maximum screwdriving time (time monitoring) is exceeded
the max. torque is reached
Analysis:
OK evaluation:
The screwdriving level is considered OK (fault free), if the screwdriver shut-off occurs
via the angle of rotation and the value of the angle measurement is in the preset limits.
Furthermore, the torque value must be within the preset limits.
Not OK evaluation:
The screwdriving sequence is evaluated as Not OK (faulty) if the angle of rotation is
outside the preset limits or the screwdriving time has been exceeded.
If angle monitoring is active the screwdriving sequence is evaluated as Not OK, if the
angle value is outside the preset limits.
Parameters:
The following parameters are used in the screwdriving sequence:
• Supervision time: maximum time until the shut-off angle is achieved
Shut-off angle, shut-off angle upper/lower limits
Torque upper/lower limits at target angle
• Speed
Result value generation: final torque / maximum torque
The resulting torque can be displayed as final torque (torque at end of screwdriving)
or the maximum torque (maximum torque achieved during the cycle) in the final val-
ues.

Table of Contents

Related product manuals