EasyManua.ls Logo

DeWalt DXGN4500 - Test 6 - Check Capacitor; Test 7 - Test Brushless Excitation Winding

DeWalt DXGN4500
56 pages
Print Icon
To Next Page IconTo Next Page
To Next Page IconTo Next Page
To Previous Page IconTo Previous Page
To Previous Page IconTo Previous Page
Loading...
Section 1 Capacitive Discharge (Brushless)
Diagnostic Repair Manual 3
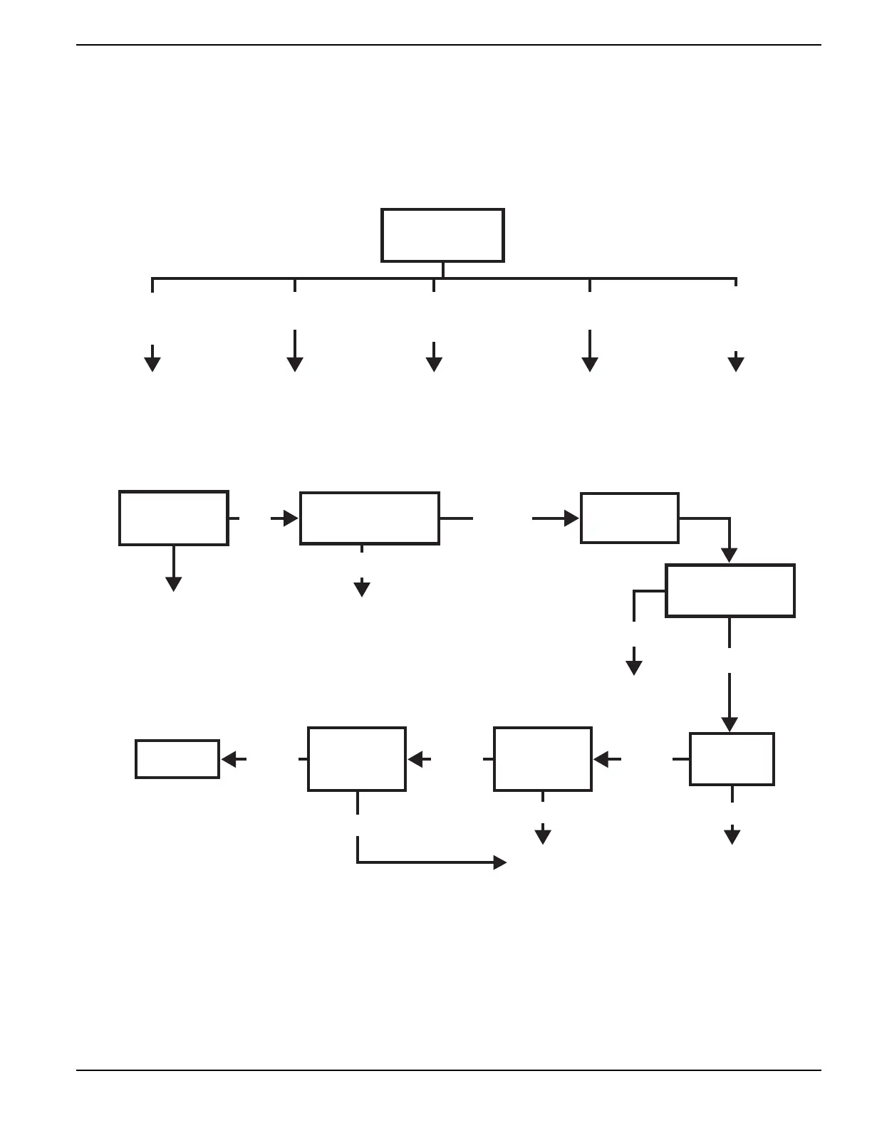
Troubleshooting Flowcharts
Introduction
Use the Flow Charts in conjunction with the AC Diagnostic Tests . Test numbers used in the flow charts correspond to
the numbered tests in the AC Diagnostic Tests . The first step in using the flow charts is to identify the correct problem
on the following pages. For best results, perform all tests in the exact sequence shown in the flow charts.
If Problem Involves AC Output
Problem 1 – Generator Produces Zero Voltage or Residual Voltage
GO TO PROBLEM 2 GO TO PROBLEM 1GO TO PROBLEM 4 GO TO PROBLEM 3
VOLTAGE &
FREQUENCY BOTH
HIGH OR LOW
FREQUENCY GOOD
VOLTAGE HIGH
ZERO VOLTAGE
ZERO FREQUENCY
FREQUENCY GOOD,
LOW OR RESIDUAL
VOLTAGE
TEST 1 - CHECK
NO LOAD VOLTAGE
& FREQUENCY
NO LOAD VOLTAGE &
FREQUENCY GOOD -
VOLTAGE/FREQUENCY
FALLS OFF UNDER LOAD
VERIFY ROTOR IS SPINNING,
GO TO PROBLEM 1
BAD
BAD
GOOD
GOOD
TEST 2 – CHECK
MAIN CIRCUIT
BREAKER
RESET TO “ON”
OR REPLACE IF BAD
REPLACE COMPONENT
AS NEEDED
STOP
TESTING
TEST 3 – CHECK
CONTINUITY OF
RECEPTACLE PANEL
RE-CHECK VOLTAGE
AT RECEPTACLE
PANEL
TEST 5 – FIELD
FLASH
ALTERNATOR
REPLACE
BAD
BAD
BAD
REPLACE
STATOR
REPLACE
ROTOR
ON
GOODGOODGOOD
TEST 6 –
CHECK
CAPACITOR
TEST 7 – TEST
BRUSHLESS
EXCITATION
WINDING
TEST 8 – TEST
BRUSHLESS
STATOR
WINDINGS

Table of Contents

Related product manuals