EasyManua.ls Logo

Doosan D1146 - Governor adjustment (D1146)

Doosan D1146
179 pages
Print Icon
To Next Page IconTo Next Page
To Next Page IconTo Next Page
To Previous Page IconTo Previous Page
To Previous Page IconTo Previous Page
Loading...
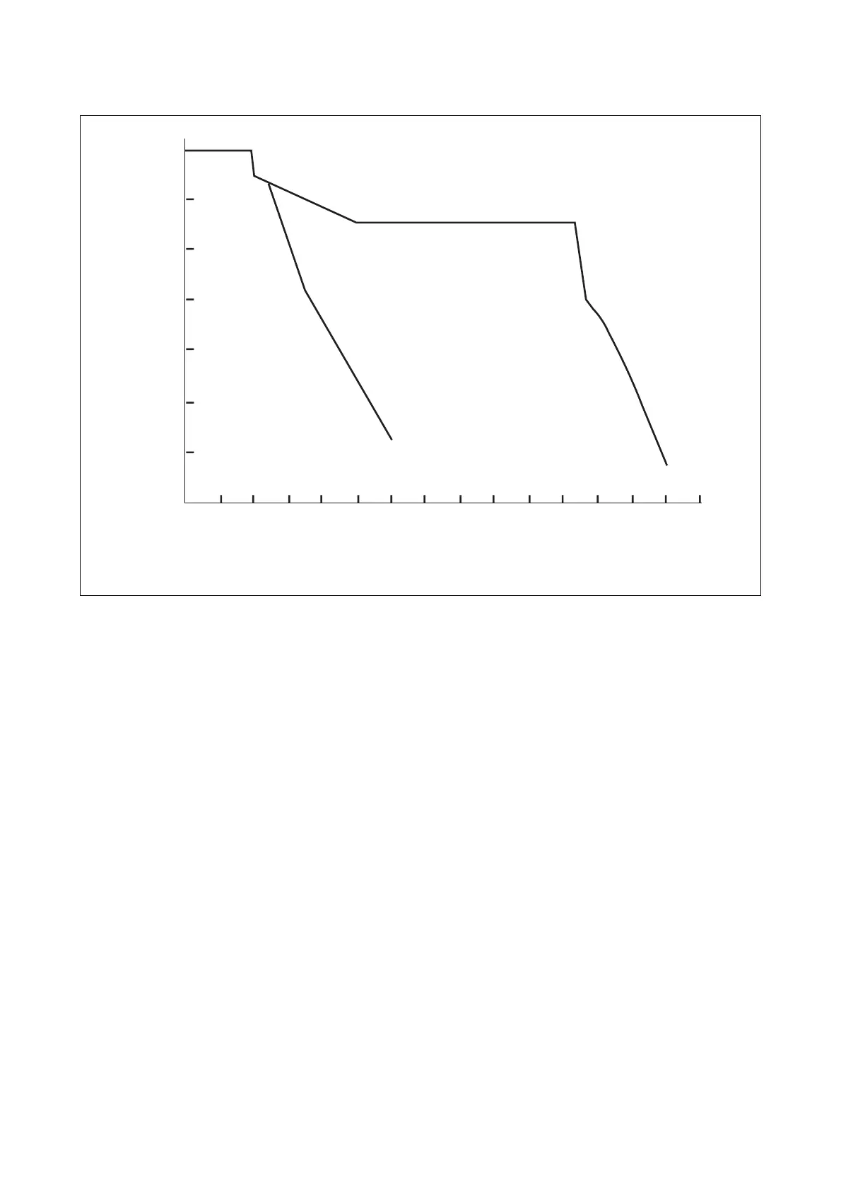
(7) Governor adjustment (D1146)
- 130 -
EA9M4002
0
Injection Pump Speed (rpm)
Rack Position (mm)
2
4
6
8
10
12
14
C
D
B
A

Related product manuals