EasyManua.ls Logo

Eaton EASY-E4-UC-12RC1

Eaton EASY-E4-UC-12RC1
621 pages
To Next Page IconTo Next Page
To Next Page IconTo Next Page
To Previous Page IconTo Previous Page
To Previous Page IconTo Previous Page
Loading...
Appendix
A.3 Technical data
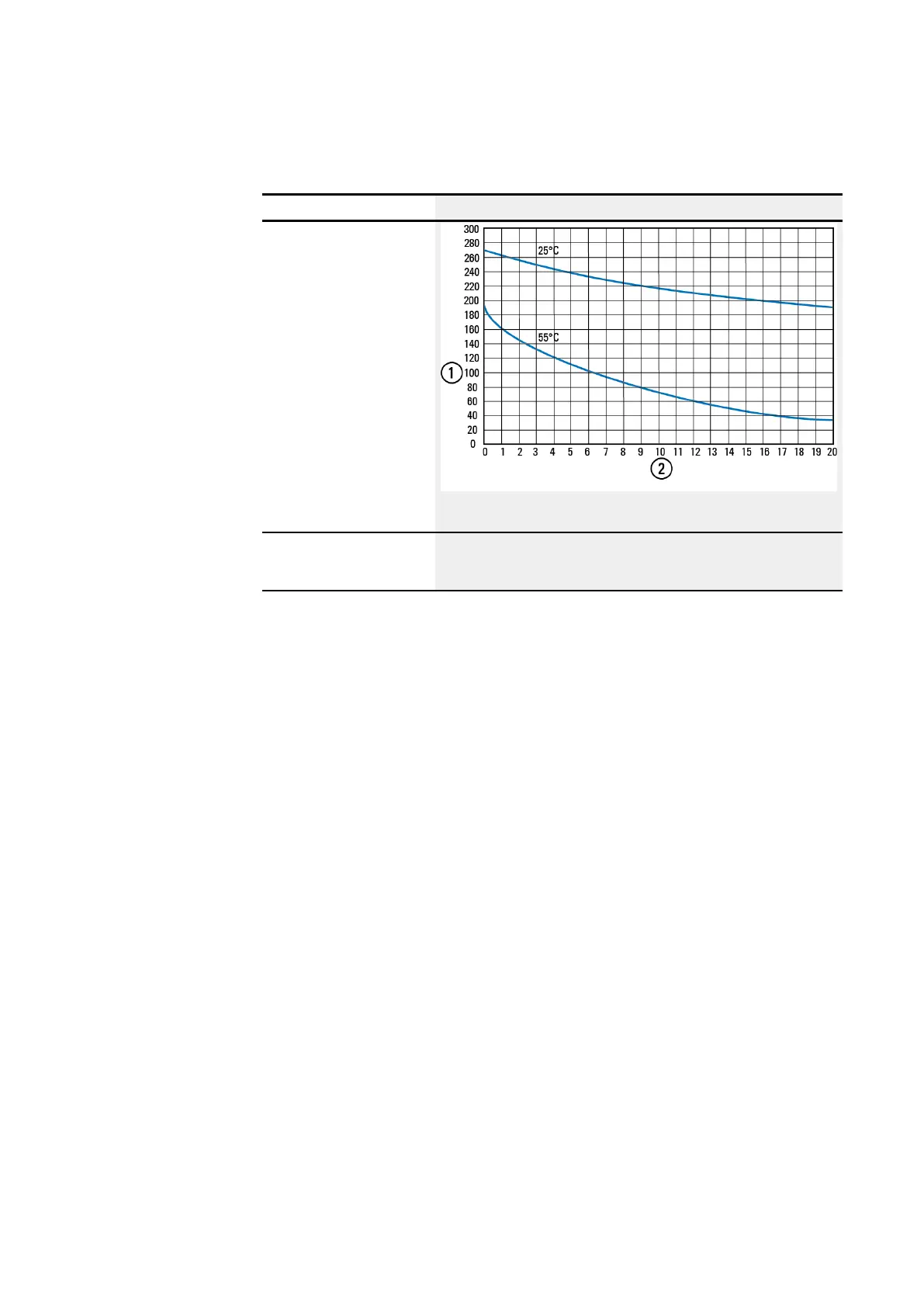
Real-time clock
Back-up
of real-time clock
Backup time (hours) with fully charged double layer capacitor
Service life (years)
Accuracy
of the real-time clock
typ. ± 2 s/day 0.2 h⁄year)
depending on ambient air temperature fluctuations of up to ± 5 s/day 0.5
h⁄year) are possible
Table 109: Real time clock
586
easyE4 11/18 MN050009 EN www.eaton.com

Table of Contents

Other manuals for Eaton EASY-E4-UC-12RC1

Related product manuals